请告诉我们您的知识需求以及对本站的评价与建议。
满意 不满意
Email:
工程投标中串标问题的分析
栏目最新
- 2013年中国建筑业前三季度分析简报
- 建筑服务业发展现状及营改增税制设计研究
- 如何控制项目采购成本
- 国有建筑企业人力资源管理的问题与建议
- 建筑施工企业人才流失的对策
- 建筑业企业多元化战略的回顾与启示
- 世界顶级承包商的发展模式和启示
- 基于经济法看我国绿色建筑的发展问题
- 建筑工程土建预算的审查技巧、管理建议和误区
- 建筑企业的准时化采购模式研究
网站最新
内容提示:随着我国建筑招标投标市场的完善和规范化,大多数的违规行为已得到了有效的控制,但串标行为却有愈演愈烈的趋势,严重影响了建筑市场的公平竞争,阻碍了我国建筑行业的顺利发展。文章从招标者的角度分别对串标人及陪标人的期望收益进行经济分析,得到投标人串标的根本原因在于制度的缺陷及招标人对串标者的处罚费过少,并指出治理串标行为的主要措施是提高串标成本、增大串标查处概率,以及加大串标处罚力度等。
近年来工程招投标活动中的串标、围标等违法行为频频发生,严重扰乱了正常的市场经济竞争秩序,妨碍了招投标市场的健康发展,如何治理这一腐败行为已成为建筑市场管理中的一大难点。目前,国内关于这一问题的研究文献较多,主要从以下几方面进行研究:文献[1]从分析投标人串标所需的条件入手,在对目前反串标的若干方法做出深入分析的基础上,提出了通过资格后审法来遏制串标的新思想;文献[2]运用静态博弈理论研究投标人之间串标行为发生的内在机理,指出了国家在法律方面对串标行为惩治制裁的缺陷及有待完善的措施;文献[3]从经济学角度建立围标预期收益模型,分析各经济变量与围标预期收益的关系,提出了治理围标行为的措施。(参考《建筑中文网》)
与上述文献不同,本文在考虑串标成本及串标被查处概率的基础上,分别建立串标人及陪标人利益最大化的模型,通过对模型的经济分析来揭示串标行为产生的原因,并为防范投标人串标提供几点有益的建议。
1 串标的定义及类型
串标是招标活动中隐蔽性、欺骗性和危害性较强的一种现象,是指某个投标人通过一定的途径,秘密伙同招标人或一些投标人商量投标策略及投标报价,哄抬或故意压低投标报价,以达到排斥其他投标人,使约定的投标人中标的目的,从而损害招标人及其他投标人合法权益的一种违法行为[4]。招投标活动中,常见的串标行为有:一是投标人与招标人之间的串标。招标人通过制定特定的招标文件和考评方法,内定投标单位,使招标制度流于形式。二是投标人之间的串标。各投标方在投标之前协议好由哪一家中标,其他各家进行陪标,然后由中标方分给各陪标方一定比例或一定数额的“合理利润”作为报酬。三是投标人与招标代理机构串标。
鉴于在实际中存在的相对广泛性,本文仅针对投标人之间的串标行为进行分析。
2 对串标行为的模型分析
2.1 模型假设
(1)参与串标者均为风险中性,追求利益最大化。陪标人是所有陪标人的一个组合。
(2)为分析问题的方便,假设串标集体中有n 个成员,各陪标人陪标所得的收入相等。
(3)工程完工利润为 u,串标成本为 c1,串标经查处后对投标人的处罚为 c2,对陪标人的处罚为 fi(i = 1,2,…,n-1),其中 fi、c2包括各种量化的非经济惩罚。盛宇明采用了力度系数概念对非经济的惩罚进行定量化[5],其表达式为:
惩罚损失=罚款+处分、刑事责任等的量×力度系数
(4)串标人串标不被查处的概率为 p,则串标人被查处的概率为 1- p。
(5)为陪标人i 进行陪标而不被查处的概率为 qi(i = 1,2,…,n-1),令 qi= θip,其中 θi为信息封闭率,0 < θi ≤1。当 θi= 1 时,表示陪标人i 对串标者绝对忠诚,串标行为只有当事人知道,信息绝对安全;当 θi 不断减少时,表示陪标人 i对串标者越来越不忠诚,信息封闭程度低,甚至可能检举该串标行为,即被查处的可能性越大。
2.2 模型的建立与分析
根据上述假设及投标人追求利益最大化的原则,下面分别对串标人和陪标人的期望收益进行经济分析。
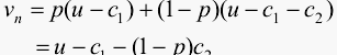
(1)对串标人的经济分析。串标人的期望收益为:

显然,只有当串标人收益大于其可能受到的处罚损失及串标成本时才可能串标,即串标的最低条件是 vn> 0,也就是 u-c1>(1-p)c2。
一般的,1- p < 1,故当 c2< u -c1,即处罚损失小于串标人串标所得的纯利润时,即使被查处的概率很大,串标人也会铤而走险选择串标。
对于招标人而言,工程完工利润u 是不可控因素,因而只对变量 c1、c2、p 作如下分析:
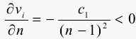
① 在c2和p既定的条件下,对c1求偏导可得:

表明串标人收益 v n是串标成本 c1的反函数,随着串标成本的增大,串标人的期望收益会急剧减少,进行合谋的欲望就会减弱,串标发生的可能性就较小。
② 在c1和p既定的条件下,对c2求偏导可得:

表明串标人收益 vn 是惩罚损失 c2的反函数,随着惩罚力度加大,串标人的预期收益会相应下降,串标行为发生的可能性就较小。
③ 在 c1和 c2既定的条件下,p 求偏导可得:

表明串标人收益 vn 是不被查处概率p 的增函数,串标越隐蔽,招标人审查越宽松,就越容易发生串标行为。
(2)对陪标人 i 的经济分析。陪标人 i 的期望收益为:

显然,只有当
,即陪标人因参与陪标所得的期望利润
大于被查处受罚的收入损失期望值时,陪标人才会选择陪标。特别地,当陪标人与串标人组成一个串标集团而采用“轮流坐庄”的办法进行长期串标时,只要惩罚损失 fi小于非法收入
即便串标被查处的概率很大,陪标人也会选择合作串标,因为它这次作为“闲家”陪标,下次可能就会成为“庄家”串标而得到更大的利益。
① 对 θi的分析。在 n、p 和 fi既定的条件下,对 θi求偏导可得:

说明陪标人 i 对串标人越忠诚,串标信息封闭越好,其收益期望值就会越高,越会刺激陪标人参与合谋的信心。
② 对 fi的分析。在 n、p 和 θi既定的条件下,对 fi求偏导可得:

说明惩罚损失越大,陪标人的期望收益会减少,其退出串标的可能性就越大。
③ 对 n 的分析。在 θi、p 和 fi既定的条件下,对 n 求偏导可得:

说明随着串标集体成员的增加,每个陪标人的期望收益就会越少,其参与陪标的愿望就会降低。但串标人为了串标成功,又不得不邀请更多的陪标人。
3 措施和建议
由上述分析可知,串标人对是否组织串标主要取决于它对串标成本的考虑和对串标行为不被查处概率及处罚损失的判断,而陪标人对串标人的忠诚度及串标集体的信息封闭度,是产生这种利益同盟的重要因素。因此,招标人及建设行政主管部门可以从经济和法律方面制定措施,防范投标人的串标行为。
(1)在尽可能大的区域内选择尽可能多的投标人。参与投标者数量越多,串标人为串标所支出的成本就越大,合谋的可能性就越小,因此,要鼓励地区、行业之间承包商的流动,取消进入障碍。
(2)加强对建筑施工企业的监管,降低行业退出壁垒,对挂靠施工做出明确的处罚规定,杜绝施工企业挂靠现象。如:对不具备条件而采取欺诈行为的投标人采取清出制度,政府要建立招投标建筑市场的黑名单,定期公布登上黑名单企业的名称,并实施市场封杀,加大企业违法交易成本[6]。
(3)增强对潜在投标人的资格审查力度,从投标人的财务、人员、机械等方面加强审查,增大串标查处的概率。积极推行工程量清单计价法,提倡在招投标中设立对投标报价的最高限额,加强对报高价投标人的检查以预防和遏制串通投标和哄抬标价的行为。
(4)采用合理最低投标价法评标。串标围标的核心是中标价,它的目的在于哄抬标价谋取不合理收益,在最低投标价法下,如果要成功哄抬标价基本需要全部投标人的参与,这样将会大大降低串标的可能性。
(5)加大处罚力度。目前《中华人民共和国建筑法》和《中华人民共和国招标投标法》对串标行为的处罚过于轻微,以文献[7]提到的国内市政工程串标第一案为例,对相关责任人的处罚仅为296 万元,而案犯的非法所得竟高达 1 216 万元,两者相比,惩罚力度实在是太小了,所以这些投标人才会存在侥幸心理铤而走险。因此,应大力提高招标投标法中规定的处罚百分比,甚至在刑法中确立串标罪等破坏竞争自由的罪行,加大打击力度。
参考文献:
[1] 王权民.用资格后审法遏制串通投标的研究与实践[J].建筑经济,2007(6):97-100.
与上述文献不同,本文在考虑串标成本及串标被查处概率的基础上,分别建立串标人及陪标人利益最大化的模型,通过对模型的经济分析来揭示串标行为产生的原因,并为防范投标人串标提供几点有益的建议。
1 串标的定义及类型
串标是招标活动中隐蔽性、欺骗性和危害性较强的一种现象,是指某个投标人通过一定的途径,秘密伙同招标人或一些投标人商量投标策略及投标报价,哄抬或故意压低投标报价,以达到排斥其他投标人,使约定的投标人中标的目的,从而损害招标人及其他投标人合法权益的一种违法行为[4]。招投标活动中,常见的串标行为有:一是投标人与招标人之间的串标。招标人通过制定特定的招标文件和考评方法,内定投标单位,使招标制度流于形式。二是投标人之间的串标。各投标方在投标之前协议好由哪一家中标,其他各家进行陪标,然后由中标方分给各陪标方一定比例或一定数额的“合理利润”作为报酬。三是投标人与招标代理机构串标。
鉴于在实际中存在的相对广泛性,本文仅针对投标人之间的串标行为进行分析。
2 对串标行为的模型分析
2.1 模型假设
(1)参与串标者均为风险中性,追求利益最大化。陪标人是所有陪标人的一个组合。
(2)为分析问题的方便,假设串标集体中有n 个成员,各陪标人陪标所得的收入相等。
(3)工程完工利润为 u,串标成本为 c1,串标经查处后对投标人的处罚为 c2,对陪标人的处罚为 fi(i = 1,2,…,n-1),其中 fi、c2包括各种量化的非经济惩罚。盛宇明采用了力度系数概念对非经济的惩罚进行定量化[5],其表达式为:
惩罚损失=罚款+处分、刑事责任等的量×力度系数
(4)串标人串标不被查处的概率为 p,则串标人被查处的概率为 1- p。
(5)为陪标人i 进行陪标而不被查处的概率为 qi(i = 1,2,…,n-1),令 qi= θip,其中 θi为信息封闭率,0 < θi ≤1。当 θi= 1 时,表示陪标人i 对串标者绝对忠诚,串标行为只有当事人知道,信息绝对安全;当 θi 不断减少时,表示陪标人 i对串标者越来越不忠诚,信息封闭程度低,甚至可能检举该串标行为,即被查处的可能性越大。
2.2 模型的建立与分析
根据上述假设及投标人追求利益最大化的原则,下面分别对串标人和陪标人的期望收益进行经济分析。
(1)对串标人的经济分析。串标人的期望收益为:

显然,只有当串标人收益大于其可能受到的处罚损失及串标成本时才可能串标,即串标的最低条件是 vn> 0,也就是 u-c1>(1-p)c2。
一般的,1- p < 1,故当 c2< u -c1,即处罚损失小于串标人串标所得的纯利润时,即使被查处的概率很大,串标人也会铤而走险选择串标。
对于招标人而言,工程完工利润u 是不可控因素,因而只对变量 c1、c2、p 作如下分析:
① 在c2和p既定的条件下,对c1求偏导可得:

表明串标人收益 v n是串标成本 c1的反函数,随着串标成本的增大,串标人的期望收益会急剧减少,进行合谋的欲望就会减弱,串标发生的可能性就较小。
② 在c1和p既定的条件下,对c2求偏导可得:

表明串标人收益 vn 是惩罚损失 c2的反函数,随着惩罚力度加大,串标人的预期收益会相应下降,串标行为发生的可能性就较小。
③ 在 c1和 c2既定的条件下,p 求偏导可得:

表明串标人收益 vn 是不被查处概率p 的增函数,串标越隐蔽,招标人审查越宽松,就越容易发生串标行为。
(2)对陪标人 i 的经济分析。陪标人 i 的期望收益为:

显然,只有当
大于被查处受罚的收入损失期望值时,陪标人才会选择陪标。特别地,当陪标人与串标人组成一个串标集团而采用“轮流坐庄”的办法进行长期串标时,只要惩罚损失 fi小于非法收入 ① 对 θi的分析。在 n、p 和 fi既定的条件下,对 θi求偏导可得:

说明陪标人 i 对串标人越忠诚,串标信息封闭越好,其收益期望值就会越高,越会刺激陪标人参与合谋的信心。
② 对 fi的分析。在 n、p 和 θi既定的条件下,对 fi求偏导可得:

说明惩罚损失越大,陪标人的期望收益会减少,其退出串标的可能性就越大。
③ 对 n 的分析。在 θi、p 和 fi既定的条件下,对 n 求偏导可得:

说明随着串标集体成员的增加,每个陪标人的期望收益就会越少,其参与陪标的愿望就会降低。但串标人为了串标成功,又不得不邀请更多的陪标人。
3 措施和建议
由上述分析可知,串标人对是否组织串标主要取决于它对串标成本的考虑和对串标行为不被查处概率及处罚损失的判断,而陪标人对串标人的忠诚度及串标集体的信息封闭度,是产生这种利益同盟的重要因素。因此,招标人及建设行政主管部门可以从经济和法律方面制定措施,防范投标人的串标行为。
(1)在尽可能大的区域内选择尽可能多的投标人。参与投标者数量越多,串标人为串标所支出的成本就越大,合谋的可能性就越小,因此,要鼓励地区、行业之间承包商的流动,取消进入障碍。
(2)加强对建筑施工企业的监管,降低行业退出壁垒,对挂靠施工做出明确的处罚规定,杜绝施工企业挂靠现象。如:对不具备条件而采取欺诈行为的投标人采取清出制度,政府要建立招投标建筑市场的黑名单,定期公布登上黑名单企业的名称,并实施市场封杀,加大企业违法交易成本[6]。
(3)增强对潜在投标人的资格审查力度,从投标人的财务、人员、机械等方面加强审查,增大串标查处的概率。积极推行工程量清单计价法,提倡在招投标中设立对投标报价的最高限额,加强对报高价投标人的检查以预防和遏制串通投标和哄抬标价的行为。
(4)采用合理最低投标价法评标。串标围标的核心是中标价,它的目的在于哄抬标价谋取不合理收益,在最低投标价法下,如果要成功哄抬标价基本需要全部投标人的参与,这样将会大大降低串标的可能性。
(5)加大处罚力度。目前《中华人民共和国建筑法》和《中华人民共和国招标投标法》对串标行为的处罚过于轻微,以文献[7]提到的国内市政工程串标第一案为例,对相关责任人的处罚仅为296 万元,而案犯的非法所得竟高达 1 216 万元,两者相比,惩罚力度实在是太小了,所以这些投标人才会存在侥幸心理铤而走险。因此,应大力提高招标投标法中规定的处罚百分比,甚至在刑法中确立串标罪等破坏竞争自由的罪行,加大打击力度。
参考文献:
[1] 王权民.用资格后审法遏制串通投标的研究与实践[J].建筑经济,2007(6):97-100.
原文网址:http://www.pipcn.net/research/201001/14269.htm
也许您还喜欢阅读:
