相变贮能新风机组运行经济分析
- 建筑结构鉴定与加固改造技术的进展
- 公路工程养护管理体制问题的思考
- 某小高层纠倾加固技术
- 运用“破窗理论”,搞好高校物业管理
- 钢筋混凝土模型框架振动台试验分析和抗震性能评估
- 5.12地震后震区农村建筑物震害分析和对策
- 对影响建筑寿命因素的探讨
- 建筑修复也是一种挑战
- 淮安市楚州医院病房楼走廊吊顶发霉与结露分析
- 火灾报警控制系统设计在建筑中的应用
内容提示:阐述了该机组的结构与特点,提出了一种综合考虑相变材料利用率、空气处理效果满意率和运行费用节省率来确定系统最佳蓄冷量和运行方案的方法;通过经济分析提出了临界附加初投资的概念,可作为是否应该投资的判据;作为算例,对该机组的经济性及其在北京地区的使用效果作了全年模拟分析。
摘要:阐述了该机组的结构与特点,提出了一种综合考虑相变材料利用率、空气处理效果满意率和运行费用节省率来确定系统最佳蓄冷量和运行方案的方法;通过经济分析提出了临界附加初投资的概念,可作为是否应该投资的判据;作为算例,对该机组的经济性及其在北京地区的使用效果作了全年模拟分析。
关键词:相变贮能新风机组 经济分析 临界附加初投资 最佳蓄冷量
Abstract Explains its structure and features, presents a method for determining the optimum thermal storage and operation programmes on a trade-off basis between usage of the phase change material, effects of air handling and the savings in operation costs; Following an economic analyssis, defines a concept of critical additional initial investment as a measure of the units' profitability; And provides and annual simulation of the economics and effects when used in Beijing area.
Keywords:fresh air handling unit with phase change material,economic analysis,critical additional initial investment,optimum thermal storage
1 引言
针对我国长年来电力生产和供应的突出矛盾,国家已制定政策,以经济手段推动电力"削峰填谷"的实现,蓄冷空调是其中一项最主要的技术措施。目前,蓄冰空调技术日趋完善,但由于冰的凝因点低,需要制冷机提供-3~-7℃的温度,这样一般将使制冷机成本增加25%~30%[1]。而利用高温相变材料(融点高于0℃)蓄冷,制冷机提供7℃的的水温即可,可以提高制冷机的效率(COP)。本文介绍的相变贮能新风机组是一种新型高温相变蓄冷空系统。(参考《建筑中文网》)
作为一种贮能型空调设备,其蓄冷量和运行方案的选择很关键。文中提出了一种综合考虑相变材料利用率、空气处理效果满意率和运行费用节省率来确定系统最佳蓄冷量和运行方案的方法,根据逐时的室外气象参数对系统进行了运行经济分析,并提出临界附加初投资的概念,可作为生产厂商的投资判据。
2 系统简介
与常规的新风机组相比,相变贮能新风机组的不同之处是用相变贮能换热器取代了表冷器,如图1所示。它的工作方式与蓄冰空不尽相同,在蓄冰空调中,由制冷机提供冷量蓄冰,冰贮存的冷量先传递给水,再由水传递给空气。而在本系统中,制冷机提供的冷量先传递给水,再由水传递给相变材料,然后用相变材料冷却空气。

图1 相变贮能新风机组系统示意图
可看出,这种机组主要有如下优点:
①常规空调系统中白天制冷机需同时承担新风和房间的负荷,采用本文中的系统后白天制冷机只承担房间负荷(当采用部分蓄冷方式时也要承担部分新风负荷),晚上只承担相变贮能换热器的蓄冷负荷,因此这种系统能有效降低机组的容量,同时能降低电力增容费。
②这种机组在降低制冷机组容量的同时,制冷机白天和晚上都工作,从而使其运行效率得到提高。
③因制冷机组主要利用夜间廉价电运行,故能大幅度降低机组运行费用。
④与蓄冰空调相比,这种同组因利用高温相变材料蓄冷,制冷机提供较高水温(7℃)的冷冻水即可,故可提高制冷机效率,并可降低对制冷机的性能要求。此外,相变贮能新风机组不是在集中冷源处蓄冷而是在空气处理设备处蓄冷,所以可以省去蓄冰空调中需要的蓄冰槽、板式换热器、乙二醇泵及相关管道。并且,在过渡季节,夜间可进一步利用自然通风对相变材料蓄冷,进一步降低运行能耗。
3 经济性分析
3.1 概述
作为经济性分析,这里暂时只和常规新风机组比较,即求省去表冷器而采用贮能换热器后机组的投资回收年限。因为贮能式换热器作为一种尚待开发的新型设备,它的总成本(见下文初投资部分)尚不容易预测,因此本文提出另外一种经济性分析方法,即计算出厂n年内回收成本时允许的最大附加初投资,我们定义为临界附加初投资,以作为投资厂商的投资判据。
①初投资
贮能式新风机组的初投资
Mi= Mi0 Mi1 - Mi2 (1)
其中 Mi0为贮能换热器的总投资;Mi1为占地费及其它费用;Mi2为因削减电力高峰峰期用电量而节省的电力增容费及削减制冷机组容量而节省的制冷机组的成本。
常规新风机组的初投资
Mi0= M0i0 M0i1 (2)
其中M0i0 为表冷器成本; M0i1 为占地费有其它费用。
②运行费用
贮能式新风机组的运行费用
Mr= Mr0 Mr1 Mr2 (3)
其中Mr0为贮能式换热器夜间蓄冷时制冷机的电费(包括部分负荷工况时白天蓄冷负荷不足进制冷机的电费);Mr1为水泵耗能的电费(包括部分负荷工况时白天水泵的运行费用);Mr2为风机耗能的电费。
常规新风机组的运行费用
Mr0= M0r0 M0r1 M0r2 (4)
其中M0r0为制冷机的电费。
③总投资
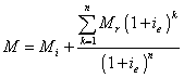
总投资是指机组运行n年,考虑货币时效后运行费用和初投资的总和。该值可用现值表示,也可用终值表示。本文用现值表示,则
贮能式新风机组的总投资
(5)
常规新风机组的总投资
(6)
其中
,为有效年利率;i1为年利率;i2为电价上涨率。
④目标函数
若计划在n年内回收附加成本,则n年后,M=M0。
令ΔMi = Mi - M0i ,ΔMr = M0r - Mr ,则
(7)
相应n年回收期的临界附加初投资应为
(8)
这里ΔM表示n年回收期内允许临界附加初投资,即采用相变贮能新风机组后在n年内回收成本,所允许附加设备比节省的电力增容费、制冷机组成本和表冷器成本之和多出的费用,从运行费用角度看,即n年内能节约的运行费用的现值。
⑤模型简化
为简化分析,作如下假设:
·忽略电价年上涨率,则ie=i1
取年利率i1=5%,则ie=0.05
·运行费用中,忽略本系统风机、水泵与常规新风机组中风机、水泵的耗能比较,即认为
(Mr1 Mr2)- (M0r1 M0r2)= 0
则 ΔM r = M0r0 - M r0
经上述简化,式(8)则为
(9)
3.2 运行费用分析
一天气新风负荷(本文的新风负荷概念与传统概念不尽相同)可表示为
(10)
式中q为新风负荷,kJ;G为风量,m3/s;ρ为空气密度,kg/ m3;h为比焓kJ/kg。下标d表示一天内,in表示进风,out表示排风,h,a,l分别表示电价的高峰期,平峰期和低谷期。
本文取q1=0即qd= qd qa ,即不考虑机组在夜间电价低谷期对新风处理的情况。
当Q>qd时,q ex= Q - q d,q ex , h= Q - q h ,q sh , h= 0,q sh , a= 0;
当Q>qh且Q < q d时,q ex= 0,q ex , h= Q - q h> ,q sh , h= 0,q sh , a= q d - Q;
当Qh,qex= 0,q ex , h= 0 ,q sh , h= q h - Q,q sh , a= q a ;
贮能机组运行费用:
M r =[(Q -q ex)·P1 q sh , h·P h q sh , a·P a ]/(3600·COP) (11)
常规机组运行费用:
M0r =(qh·P h q a·P a)/(3600·COP) (12)
第j天节省的运行费用:yj= M0r - M r
一年中,节省的总运行费用为
以上各式中,Q为蓄冷量,kJ;P为电价,元/(kW·h);COP为制冷系数;y为每天节省的运行费用,元,下标ex表示过量,sh表示不足。
4 最佳蓄冷量与运行方案的选择
相变贮能新风机组在夜间电价低谷期蓄冷,白天对新风放冷,以降低机组的运行费用。对相变蓄冷新风机组进行经济分析,需要考虑机组每天的蓄冷量和运行方案,而它们之间是相互联系、相互影响的,需综合考虑。
4.1 运行方案的选择
运行方案是否合理,是影响贮能新风机组经济性和运行效果的重要因素。贮能空调系统的运行一般分两种:全负荷贮能和部分负荷贮能。全负荷贮能方式虽然运行费用低,但设备投资高,并且贮能装置占地面积大;部分负荷贮能方式全天所需冷量部分由制冷面提供,所需制冷机容量和贮能系统的容量均较小,但节省的运行费用相对全负荷方式要少。
根据图2电价情况,本文采用下述运行方案:①保证被处理空气的出口温度为24℃;②对全负荷贮能方式,夜间蓄冷是为了满足全天的新风负荷;对部分负荷贮能方式,夜间蓄冷则主要是为了满足电价高峰期的新风负荷,如果对选择的日蓄冷量,在电价高峰期有冷量过量时,认为过量部分可以转移到电价平峰期,在高峰期和平峰期冷量不足时,由制冷机提供不足的冷量。为实现这样的运行方案,需要对相变贮能换热器进行结构优化设计 原文网址:http://www.pipcn.net/research/200607/8654.htm 也许您还喜欢阅读:工程投标中串标问题的分析
气流运动及其与热舒适关系研究的进展与评选
轻钢结构住宅低消耗性经济分析
高层建筑设备层制冷主机设备减振改造案例
建筑方案设计阶段的造价控制分析
房地产三种评估价格的比较分析
