构造钢筋控制非荷载裂缝产生与发展的机理研究
- 东莞至惠州城际铁路隧道安全风险评估与管理
- 高层建筑给排水系统安装施工技术
- 高层建筑施工质量的五个控制要点
- 房屋建筑工程质量问题、原因和防止措施
- 地下停车场防水工程施工质量预控措施
- 试析绿色施工技术在建筑工程中的应用
- 施工企业预算管理措施及案例分析
- 岩溶地区隧道施工综合预报技术案例分析
- 预制块镶面现浇混凝土隧道洞门施工方法
- 建筑施工模板应用技术简析
内容提示:选取钢筋与混凝土单元,建立基本方程,并引入相应的辩解条件,推导了混凝土的应力应变分布规律、裂缝宽度随配筋率的变化规律,为揭示构造钢筋控制非荷载裂缝的产生和发展机理提供了理论依据。算例表明,选择滑移刚度较大的螺纹筋能有效地控制裂缝的宽度,细密的配筋有利于改善混凝土内部应力的不均匀性从而提高混凝土的极限拉应变。
摘 要:选取钢筋与混凝土单元,建立基本方程,并引入相应的辩解条件,推导了混凝土的应力应变分布规律、裂缝宽度随配筋率的变化规律,为揭示构造钢筋控制非荷载裂缝的产生和发展机理提供了理论依据。算例表明,选择滑移刚度较大的螺纹筋能有效地控制裂缝的宽度,细密的配筋有利于改善混凝土内部应力的不均匀性从而提高混凝土的极限拉应变。
关键词:构造;裂缝;机理;研究
1引言
建筑结构在其使用过程中承受两类作用,静荷载、动荷载和其它荷载,称为直接作用;温度、收缩、不均匀沉降等则称为间接作用(即非荷载作用)。调查资料表明,由荷载引起的裂缝仅占20%左右,尚有约80%的裂缝是由非荷载作用引起的。构造配筋对裂缝发生发展的控制作用往往由以下两点来定性解释:一方面,配筋可以提高混凝土的极限拉伸应变,从而提高混凝土的抗裂能力,这一点目前已经得到普遍认可[1,2],另一方面,配筋可以有效的减小开裂处混凝土的应变集中从而有效控制裂缝宽度[3],因为裂缝的宽度与结构开裂过程中所释放的拉应变成正比,一旦开裂,必然在开裂区附近形成应变集中,应变集中程度越高,在相同条件下,裂缝宽度越大[4]。
为了能为裂缝控制设计提供理论依据,构造钢筋对非荷载裂缝的控制不能仅仅停留在定性的阐述上,必须从定量的理论上加以研究,这就涉及到混凝土的应力应变分布规律、裂缝宽度随配筋率的变化规律等内容。
2构造配筋控制裂缝的产生
配筋能否控制或者延迟裂缝的产生曾经是一个比较有争议的问题。一种观点认为,配筋对混凝土的极限拉伸没有影响,反而加大了混凝土的自约束应力;另一种观点则认为,配筋可以提高混凝土的极限拉伸,在配筋率较低的情况下,配筋引起的自约束应力是很小的,可以忽略不计。所以,问题的关键是,配筋能否提高混凝土的极限拉伸;另一方面是配筋是否会引起一个过大的自约束应力,从而导致裂缝的过早出现。
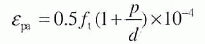
文献[1][2][4][5]中认为配筋可以提高混凝土的极限拉伸,从而提高混凝土的抗裂能力,文献[1]给出了合理配置构造配筋混凝土极限拉伸的经验公式
(1)
式中,
为配筋后的混凝土极限拉伸;
为混凝土抗裂设计强度;p为截面配筋率
;d为钢筋直径(cm)。
上述公式为经验公式,各参数无量纲代入。上式可以用来估算配筋对混凝土极限拉应变的贡献。分析公式可见合理配筋就是要“细、密”。故配筋可起到有效控制裂缝产生的作用。
3构造配筋控制裂缝的开展
在楼板开裂之后,配筋的主要作用表现为对裂缝发展的控制作用,即不同的配筋率对已有裂缝宽度的控制作用和对次级裂缝的限制作用[6]。
3.1 钢筋和混凝土的滑移规律
假定两端的固支约束构件受到温降值为 的非荷载温降作用,则钢筋和混凝土的单元应力分布如图1。




上面虽然得到了混凝土在长度方向上的应力-应变分布规律,但所给出的函数关系过于复杂,不便于发现规律。所以下面给出一系列实际情况下的计算结果,然后结合计算结果分别进行讨论。计算实例的初始条件均为,当量温度(混凝土的其他收缩可以参考文献[6]转化为当量温度)降低为25℃,钢筋的直径 , ,

图2给出了混凝土应力在长度方向上的分布规律。可以看出:①混凝土在裂缝附近存在一个应力过渡区,在该过渡区之外,混凝土的应力分布是非常均匀的,这与许多学者的基本假设是吻合的。②应力均匀区中,混凝土的应力大小与钢筋和混凝土图3混凝土应力在长度方向上分布规律与滑移刚度有关,滑移刚度越大,混凝土应力越大。因此,对要求严格控制初始裂缝的,可以考虑采用滑移刚度较小的光圆钢筋,而对初始裂缝不是特别敏感,但对裂缝宽度要求较高的工程,就应尽量选择滑移刚度较大的螺纹筋。
图3给出了应力均匀区的混凝土应力随着配筋率增加的变化情况,可以看出:①随着配筋率增加,混凝土内的应力明显增加。这就使得混凝土可能在已有裂缝的邻近区域很快地达到混凝土的极限抗拉强度,从而引起次级裂缝。这样,随着配筋率的增加,钢筋混凝土构件的裂缝间距变小了,裂缝变密。②类似于图3,的增加提高了应力均匀区的混凝土应力。
图4给出了应力均匀区的混凝土应力和所配置的钢筋直径之间的关系(配筋率为1.0%)。从力学方面看,改变钢筋的直径对控制裂缝作用不明显。试验和实际所证明的配置细密的钢筋有利于控制裂缝,主要还是应该从细密的配筋有利于改善混凝土内部应力的不均匀性从而提高混凝土的极限拉应变的角度上考虑。
3.3 裂缝宽度随配筋率的变化规律
由于钢筋的中截面并没有位移,所以裂缝宽度其实就是混凝土在整个长度方向的滑移总和,即

图5给出了混凝士的裂缝宽度随配筋率的变化规律。可以看出:①裂缝的扩展宽度和裂缝的配筋率近乎成线性关系,说明增加配筋对控制裂缝的扩展,效果是明显的。②在相同的配筋率条件下,增加钢筋和混凝土之间的滑移刚度可以减小裂缝宽度。
4结论
要求严格控制初始裂缝的,可以考虑采用滑移刚度较小的光圆钢筋,而对初始裂缝不是特别敏感,但对裂缝宽度要求较高的工程,就应尽量选择滑移刚度较大的螺纹筋。
从力学方面看,改变钢筋的直径对控制裂缝作用不明显。试验和实际所证明的配置细密的钢筋有利于控制裂缝,主要还是应该从细密的配筋有利于改善混凝土内部应力的不均匀性从而提高混凝土的极限拉应变的角度上考虑。
参考文献:
[1] 王铁梦.工程结构裂缝控制[M].北京:中国建筑工业出版社,1997.197~208.
[2] 赵国藩,李树瑶.钢筋混凝土结构的裂缝控制[M].北京:海洋出版社,1991.67~71.
[3] 林宗凡.钢筋混凝土受弯构件裂缝宽度允许值的直接控制[J].工业建筑,1988, 6(11):41~47,53.
[4] G.Creazza and S.Russo.A New Model for predicting Crack With Different Percentages of Reinforcement and Concrete Strength Classes. Materials and Structures, Vol.32, August-September 1999,520~524.
[5] G.F.Kheder. A New Look at Control of Volume Change Cracking of Base Restrained Concretr Walls.ACI Structural Journal,V.94,nO.3,May-June,1997 681~724.
[6] 丁大钧.钢筋混凝土构件抗裂度、裂缝和刚度[M].南京:南京工业出版社.1986(7):87~92.
[7] 江见鲸.钢筋混凝土结构非线形有限元分析[M].西安:陕西科学技术工业出版社,1994. 74~85.
原文网址:http://www.pipcn.net/research/200812/13853.htm
也许您还喜欢阅读:
