工程项目风险评价方法研究
- 2013年中国建筑业前三季度分析简报
- 建筑服务业发展现状及营改增税制设计研究
- 如何控制项目采购成本
- 国有建筑企业人力资源管理的问题与建议
- 建筑施工企业人才流失的对策
- 建筑业企业多元化战略的回顾与启示
- 世界顶级承包商的发展模式和启示
- 基于经济法看我国绿色建筑的发展问题
- 建筑工程土建预算的审查技巧、管理建议和误区
- 建筑企业的准时化采购模式研究
内容提示:风险评价是工程项目管理的重要内容之一.在借鉴国内外工程项目风险评价问题研究成果的基础上,从工程项目风险管理的角度构建了工程项目风险评价的多层评价指标体系;该体系由政策风险、环境风险、业主风险、设计者风险、监理者风险、承包商风险等6个一级指标及其20个二级指标组
近年来,许多发达国家将工程项目风险评价纳入项目管理的范畴,工程项目风险评价已成为建设项目环境影响的重要组成部分.目前国际上尚未建立完整的工程项目风险评价体系,由于影响工程项目风险的因素多且各因素不可避免地具有模糊性,难以完全定量化.究其原因主要是国内工程的统计资料不充分,大量原始数据无法得到.在此提出一种适合我国项目风险管理的分析理念和分析方法,采用综合评判及相关的数学方法[1 2],对工程项目风险进行综合评判,所得结果对项目管理监督具有重要的现实意义.
1 工程项目风险评价方法
评价工程项目风险的方法主要有自我评价法和标杆评价法两种.
工程项目风险自我评价法是将工程项目实际风险与项目目标风险进行比较后,来评价工程项目的风险水平.该方法计算出工程项目风险的水平值,数值越高说明工程项目风险水平越高,具体分为算术平均法和加权平均法,自我评价法适用于行业中领先者的工程项目.
工程项目风险标杆评价法是将工程项目实际风险与同行业中处于领先地位的工程项目的风险进行比较,来评价工程项目相对的风险水平.由于工程项目风险自我评价的主观随意性较大,所以对工程项目风险进行相对评价更为有意义[3].在与同行业中处于领先地位的工程项目的风险进行比较,能客观地反映工程项目风险水平和工程项目在市场中所处的竞争地位[4].因此,工程项目风险的标杆评价方法适用于行业中处于挑战者、追随者地位的工程项目.
2 工程项目风险评价指标体系构成
工程项目通常存在的风险因素有以下几类[5 6]:(1)政策风险:如国家的经济政策变化、产业结构调整、投资方向改变、紧缩银根,国际经济形势变化、经济危机、物价涨跌等.(2)自然条件风险:如地震、暴风、暴雪、暴雨等自然灾害,山体滑坡、泥石流、地下暗河、岩溶、岩爆、瓦斯等地质现象.(3)环境风险:如地方政府风险、劳动力市场、经济发展程度、周围环境的干扰、水电的供应状况等.(4)业主风险:如业主的支付能力、履行合同情况、计量支付情况、资金供应情况、项目暂定金动用情况等.(5)设计者风险:如设计者的技术水平,设计的规范性、科学性、合理性、严肃性,设计的技术与经济专业的协调性,设计文件的完备性、交付图纸的及时性等.(6)监理工程师风险:如监理工程师的技术水平、施工经验、组织能力、管理能力、授权及权力范围、工作积极性和公正性、职业道德和管理风格、是否执行合同、监理工作是否苛刻等.(7)承包商风险:如项目部的管理水平和技术水平、组织能力和协调能力,后方派出机构的支持力度和作业层的施工能力,投标书的施工方案和报价水平,合同条款的严密程度,有无错误理解业主意图等.工程项目风险评价指标体系如表1.

表1 工程项目风险评价指标体系
3 工程项目风险评价数学模型
3.1 工程项目风险自我评价数学模型
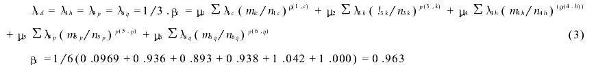
工程项目风险自我评价加权平均法数学模型及工程项目风险自我评价指标值β1,

其中,β1表示工程项目风险自我评价指标值;
μi表示第i个一级指标的权重,若认为第i个一级指标无效则取μi为0即可;
λij表示第i个一级指标中的第j个二级指标的权重,若认为第ij个二级指标无效则取λij为0即可;λi表示第i个一级指标中的[f(i)]个二级指标的权重值的和;
mij表示某公司工程项目风险指标体系中第i个一级指标中的第j个二级指标实际发生值;
nij表示某公司工程项目风险指标体系中第i个一级指标中的第j个二级指标控制目标值;
ρ(i,j)=-1或1表示第i个一级指标中的第j个二级指标与目标值的相关性.若为负相关则令р(i,j)=-1;
若为正相关则令ρ(i,j)=1;
j=[f(i)]表示j与i之间存在函数关系,且取正整数.
3.2 工程项目风险的标杆评价数学模型
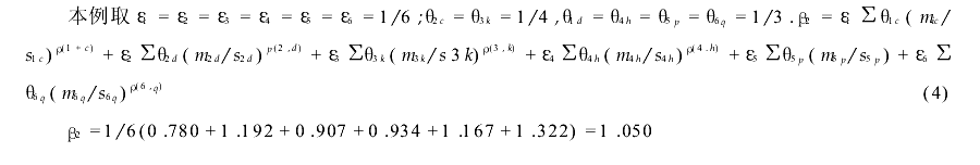
工程项目风险的标杆评价指数加权平均法数学模型及工程项目风险的标杆评价值为β2,

其中,β2表示工程项目风险评价标杆评价值;εi表示第i个一级指标的权重,若认为第i个一级指标无效则取εi为0即可;
θij表示第i个一级指标中的第j个二级指标的权重,若认为第ij个二级指标无效则取θij为0即可;
θi表示第i个一级指标中的[f(i)]个二级指标的权重值的和;
mij表示某公司工程项目风险指标体系第i个一级指标中的第j个二级指标实际发生值;
sij表示该行业中风险控制领先公司的同类工程项目风险指标体系中第i个一级指标中的第j个二级指标实际发生值;
ρ(i,j)=-1或1表示第i个一级指标中的第j个二级指标与目标值的相关性.若为负相关则令ρ(i,j)=-1;
若为正相关则令ρ(i,j)=1;
j=[f(i)]表示j与i之间存在函数关系,且取正整数.
4 工程项目风险评价方法的运用
某公司工程项目及该行业中的风险控制领先公司同类工程项目的风险指标值如表2所示.
表中的数值是采用德菲尔法邀请该行业中的风险评估专家、工程项目经理、技术人员等对该公司工程项目及根据相关资料对该行业中风险控制领先公司的同类工程项目风险进行综合打分的结果;然后分别运用自我评价法和标杆法该公司工程项目风险进行评价,将表2中的指标值代入模型(1)和模型(2)中便得出下面的结果:
(1)工程项目风险自我评价值β1:
本例μ1=μ2=μ3=μ4=μ5=μ6=1/6;λ2c=λ3k=1/4,

(2)工程项目风险标杆评价值β2:

其中,在③和④式中,i=1,…p,j=1,2,…[f(i)].在本例中,具体情况为i=1,…6.当i=1时,即j=c=1,…4;i=2时,即j=d=1,…3;i=3时,即j=k=1,…4;i=4时,即j=h=1,…4;i=5时,即j=p=1,…5;i=6时,即j=q=1,…3.然后便可知工程项目风险的状况即工程项目风险自我评价值β1≈0.969;工程项目风险标杆评价值β2≈1.050.
表2 工程项目风险评价指标值表

注:ρ(i,j)=-1或1表示第i个一级指标中的第j个二级指标与目标值的相关性.若为负相关则令ρ(i,j)=-1;若为正相关则令ρ(i,j)=1.M为上阶段值;N为本阶段值;S为领先值.
5 结论
构建了工程项目风险评价的多层评价指标体系,并建立了相应的数学模型;运用自我评价法和标杆评价法对评价工程项目的风险进行评价.评价结果说明该工程项目风险的自我评价值为优于风险控制目标值,但行业与领先者对项目的风险控制相比还存在一定差距.通过评价结果来看,论文中的评价体系是较为合理的,构造的数学模型对于工程项目的风险评价具有一定参考价值.
参考文献
[1] JACOBB,JEFFN,LAURAK,etal.NASARiskassessmentandmanagementroadmap[R].Hampton:VA,2001.
[2] 洪志国,李 焱,范植华.层次分析法中高阶平均随机一致性指标(RI)的计算[J].计算机工程与应用,2002(12):45 47.HONGZhi guo,LIYan,FANZhi hua.Caculationonhigh rankedRIofanalytichierarchyprocess,computerengi neeringandapplications[J].2002(12):45 47.
[3] WANGSQ,TIONGLK.CasestudyofgovernmentinitiativesforPRC’sBOTpowerplantpreject[J].Internation alJournalofProjectManagement,2000(18):69 78.
[4] ANDREASO,HERBERTK.Doessupplychainmanagementreallypay?Sixperspectivestomeasuretheperform anceofmanagingasupplychain[J],EuropeanJournalofOperationalResearch,2003(144):306 400.
[5] 葛湘萍.工程项目的风险管理[J].铁路工程造价管理,2004(4):36 39.GEXiang ping.Totalriskmanagementofengineeringprojects[J],RailwayProjectCostManagement,2004,(4):36 39
[6] 刘晓君,孟凡文.模糊层次分析法在房地产投资风险评价中的应用[J].西安建筑科技大学学报:自然科学版,2005,37(1):135 138.LIUXiao jun,MENGFan wen.Applicationofahp fuzzymethodintheappraisaloftheriskofrealestateinvestment[J].J.Xi’anUniv.ofArch.&Tech.(NaturalScienceEdition),2005,37(1):135 138.
来源: 《建筑中文网》.原文网址:http://www.pipcn.net/research/200612/969.htm
也许您还喜欢阅读:
