BOT项目融资风险评价
- 加强房地产企业的财务管理
- 呼和浩特市房地产行业现状、主要问题和发展趋势
- 征地拆迁中的各方利益博弈和法律秩序的重建
- 浅议农村房屋拆迁补偿制度
- 妥善解决征地拆迁范围内房地产权问题
- 桂西北中心城区建设征地拆迁工作总结
- 城市建设征地拆迁中的职务犯罪分析
- 秦直道遗址的开发与保护研究
- 河南国网宝泉抽水蓄能电站投资计划管理实践
- 使用加气混凝土砌块做为保温墙体的节能分析
内容提示:BOT是一种新型的项目融资模式,而风险评价又是BOT项目融资的关键问题,本文应用模糊层次分析法的概念,建立了模糊层次综合评价模型,并应用于BOT项目融资风险评价中,为BOT项目融资风险评价提供了一种有效的量化方法。
BOT是build-operate-transfer(建设-运营-转让)三个英文单词的缩写,是国际上近几十年兴起的主要用于公共设施建设的项目融资模式和项目管理方式,采取这种融资方式可以缓解基础设施建设资金的不足,改善本国的投资环境,因此BOT方式自从诞生以来,一直引起国际上的广泛重视,极大的促进了国际资金的流动和国际经济合作的发展。BOT项目融资模式的基本思路是:由项目所在国政府或所属机构对项目的建设和经营提供一种特许权协议作为项目融资的基础,由本国公司或者外国公司作为项目的投资者和经营者安排融资,承担风险,开发建设项目并在有限的时间内经营项目获取商业利润,最后根据协议将该项目转让给相应的政府机构。(参考《建筑中文网》)
1 BOT项目融资中的风险
对于项目发起人来说,采用BOT融资方式能够拓宽吸引外资的渠道,减少借贷和还本付息的责任,还可以打破公共基础设施由国家专营的垄断局面,引入竞争机制和先进的施工、管理技术。对于项目主办方来说,BOT模式使他们有机会涉足于项目东道国的基础性领域,而且项目所具有的独特定位优势和资源优势确保了投资者获得稳定的市场份额和资金回报率,在项目运营期满之后,投资方还可以通过提供持续性服务,继续赢得利润。但是,BOT项目融资的实施过程是一个系统工程,由于项目周期长、成本高,涉及的参与方多,且各方之间合同关系复杂,风险因素较多,风险问题成为其核心问题。因此要认真分析、解决BOT融资过程中可能出现的风险,加强对风险的控制,采取及时、有效的应对措施,这对提高BOT项目的成功率,更好的吸引外资也是极其重要的。BOT项目融资过程中可能出现的风险主要归纳为以下六种:
1)政治风险:此类风险指由于战争、争权更迭、政策改变等因素而导致项目受到损失的风险,主要表现为:(1)政治局势的影响;(2)政府政策的影响;(3)政府行为的影响;(4)法律环境的影响。
2)经济风险:指BOT项目所在国及国际的经济状况发生变化时可能带来的风险,主要表现为:(1)市场风险;(2)外汇风险;(3)利率风险。
3)不可抗力风险:指项目参与方不能预见且无法克服及避免的事件给项目所造成的损坏或毁灭的风险,如自然灾害、瘟疫、工厂和设备遭受意外损坏等等。
4)完工风险:指项目无法完工、延期完工或者完工后无法达到预期项目目标的风险,此类风险对项目参与人的打击是巨大的,如果发生这种情况,就意味着市场机会丧失、贷款偿还期延长和利息增加等,后果非常严重。主要表现在:(1)建造和竣工延误风险(2)成本超支风险(3)质量风险
5)经营和维护风险:指在项目的经营维护过程中,由于经营者的疏忽或能力低下导致的重大问题,如设备安装、使用不合理、产品质量低劣、管理混乱,从而严重影响项目的运营计划,削弱甚至丧失项目获利能力的风险,主要表现为:(1)技术风险(2)生产条件风险。
6)环保风险:指项目在建设或投产阶段,因违反项目所在国环保法规而对项目预期收益的影响,当项目没有对承担环保责任的成本费用进行预算或有意逃避环保责任时,都可能因为环保问题而给项目带来重大损失,因此项目管理者一定要对项目可能造成的污染后果进行充分的评估、检测以免造成不可控制的后果,使项目处于十分不利的地位。
2 模糊层次分析法的评估
在BOT项目融资过程中,可能遭遇的风险带有很大的模糊性,如政治风险、不可抗力风险和外汇风险等模糊概念都不能用经典的数学方法来描述,如何对风险进行量化成为问题的关键。本文采用模糊层次法,通过建立层次结构模型、构造判断矩阵、层次单排序和层次总排序四个步骤对风险进行评估,为融资风险的量化提供了一种比较好的解决方法。
层次分析法的基本原理是将待评价的各因素两两比较其相对重要性,然后依据比较结果将所有因素进行排序,其核心是采用1-9标度法构造判断矩阵。这里我们引入三角模糊数的概念,即在因素间进行两两比较时,用三角模糊数(l,m,u)定量表示比较的结果,其含义i,j是两因素的权重之比不易确定,只知道其变化范围在l,u之间,最大可能值为m,这就是模糊判断。表1为判断标度的设定。

2.1 建立层次结构模型
根据前面的风险辨识结果,我们可以得到BOT项目融资风险的因素层次分析模型,见图1。

2.2 构造风险评估的判断矩阵
对于第一层风险我们聘请专家直接给出两两比较的结果,将结果用三角模糊数表示,并根据各位专家的不同背景和经历分别赋予他们相应的权重,然后通过加权修正得到最后的判断矩阵。
2.3 层次单排序
1)一致性检验:在进行层次单排序之前,要先对判断矩阵进行一致性检验,因为判断矩阵中的每一个元素aij=(lij,mij,uij)都是一个三角模糊数,所以在计算中我们采用三角模糊数的中间数mij构成一个新的矩阵A,然后用方根法求解AW=lmaxW得到解lmax,以检验判断矩阵A的一致性指标CR,CR=CI RI,其中CI为综合一致性指标,CI=(lmax-n) (n-1),RI为随机一致性指标,RI取值可参考表2。当CR£0.1时,判断矩阵A满足一致性条件,否则要请专家重新打分,调整判断矩阵直到符合条件为止。
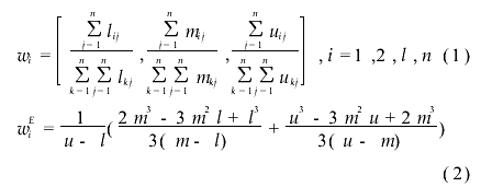
2)层次单排序:各种风险的模糊权数wi的

值可采用(1)式计算,通过(1)式的计算我们得到的是各种风险的三角模糊权数,为了确定wi的大小,我们采用(2)式计算其形式期望值,通过以上计算便可得到第一层次各风险因素的权重值。

对于第二层风险因素,由于各种风险间的相关性不大,因此我们只给出相对于同一个第一层风险因素下的两两风险比较结果,按照上述的方法分别计算第二层风险因素的权重。
2.4 层次总排序
在进行层次总排序之前,也要进行一致性检验,设在第一层中决策准则为B1,B2,L,Bm,相对于总决策目标的权重为a1,a2,L,am;第二层次的n个元素记为C1,C2,L,Cn,相对于第一层次的第i准则Ci,(i=1,2,L,m)的判断矩阵的综合一致性指标为CIi,随机一致性指标为RIi,权重分别为bi1,bi2,L,bin,同样当一致性指标
| 0.1时, |
满足一致性检验。第二层次各因素相对于总目标的综合权重w1,w2,L,wn可由(3)式求得,其中的aibij和wj为三角模糊数的形式期望值。

3 实例分析
某国际工程采用BOT融资方式,现对其融资风险进行评估。
3.1 构造风险评估的判断矩阵
此次评估我们聘请三位专家,根据各自的背景和经历不同分别赋予相应的权重,第一位专家和第二位专家的权重都为0.3,第三位专家的权重为0.4,通过对三位专家的打分结果进行修正得到判断矩阵如下。
采用判断矩阵中三角模糊数的中间数mij构成一个新矩阵A,利用方根法求解方程AW=lmaxw, 得lmax=6.04。综合一致性指标

查表2可得随机一致性指标RI=1.14,则判断矩阵的一致性指标CR=CI/RI=0.008/1.14=0.0007<0.1,符合一致性条件。
采用式(1)和式(2)计算,可以得到第一层次各风险因素的权重值。如表4
同理,我们还可以求得政治、经济等其他风险下的第二层次的风险因素值。
通过对第二层次风险因素的各判断矩阵进行验证,可知满足一致性要求,则依(3)式求得第二层次n个元素相对于总目标的综合权重值如表5。



根据综合评价结果,我们可以得到该BOT项目融资过程中各种风险因素的排序。项目参与方应对排在前几位的风险因素进行重点考虑,采取相应措施,通过合同和其他方式合理分配、转移并防范风险的发生。
4 结语
运用模糊层次分析法对BOT项目的融资风险进行综合评价,将定性分析与定量分析结合起来对各种风险因素进行量化,可以避免确定权重时的主观片面性,使主观估计客观化,大大提高了评价结果的准确性。采用模糊层次分析法进行评判,很好的解决了BOT项目融资过程中各种风险模糊因素的度量,而且通过对各种风险因素进行排序,还可以帮助项目各参与方有效地识别项目融资过程中的主要风险,及时采取应对措施,既提高了对融资风险的控制能力,也为整个项目的成功提供了保证,是一种有效、实用的方法。
参考文献:
[1]徐莉,赖一飞,程鸿群.项目管理[M].武汉:武汉大学出版社,2003.
[2]邱菀华,沈建明,杨爱华.现代项目管理导论[M].北京:机械工业出版社,2003.
[3]诸克军,张新兰,肖荔瑾.FuzzyAHP方法及应用[J].系统工程理论与实践,1997(12):64-69.
[4]周平,朱松岭,姜寿山.基于模糊层次分析法的航空项目风险管理研究[J].计算机集成制造系统-CIMS,2003(12):1062-1066.
原文网址:http://www.pipcn.net/research/200611/902.htm
也许您还喜欢阅读:

