建设项目人力资源管理的绩效评价
- 东莞至惠州城际铁路隧道安全风险评估与管理
- 高层建筑给排水系统安装施工技术
- 高层建筑施工质量的五个控制要点
- 房屋建筑工程质量问题、原因和防止措施
- 地下停车场防水工程施工质量预控措施
- 试析绿色施工技术在建筑工程中的应用
- 施工企业预算管理措施及案例分析
- 岩溶地区隧道施工综合预报技术案例分析
- 预制块镶面现浇混凝土隧道洞门施工方法
- 建筑施工模板应用技术简析
内容提示:以大、中型项目人力资源管理为主,建立评价指标体系,以项目人力资源业绩、能力和态度为评价依据,运用DEA综合评价(方法),提出建设项目人力资源管理指标评价体系,并以实例阐述该模型在建设项目人力资源管理绩效评价的具体运用.
人力资源是工程建设项目中最基本、最重要、最具有创造性的资源,是影响项目成功的决定因素.因此,对工程建设项目人力资源绩效进行评价十分必要.人力资源绩效评价是一个多维度的结构.1928年,AlexanderWall创立了沃尔评分法,选择了7项指标.1992年,RobertKaplan建立了一种全面的评价体系———“平衡计分法”,另外,Argenti(1976)、Chakravarthy(1986)尝试建立多因素的评价模型,但由于缺乏关于权重的信息,多因素的评价模型往往面临着如何给每一个评价因素赋予权重的难题.在评价方法和模型方面,着眼于投入产出效率分析的思路在人力资源绩效评价中越来越受到重视[1].基于数学规划的数据包络分析(DEA)方法特别适合于分析多输入、多输出情形下的投入产出效率.DEA模型无需提供先验的权重信息,不需要预先估计参数,在避免主观因素和简化运算、减少误差等方面有着不可低估的优越性, 已成为管理科学重要而有效的分析工具[2].
1 建设项目人力资源绩效评价中指标体系的确定
随着评价主体等级的提升,决策单元的数量呈下降趋势.对他们的考察要在输入指标的选取上应该反映工作投入状况以及耗费的资源情况.在员工的工作投入状况中采用问卷调查的方式,主要以员工的素质为基础,综合考虑其工作态度[3,4].
1 1 业绩考评指标
绩效考评不能单纯地“考评”还必须对工作业绩以外的内容进行考评,即对项目员工的综合素质以及对项目的贡献做出正确的评价,否则难以实现绩效管理的目标(见表1).

1 2 能力考评指标
员工能力考评是考评其在岗位工作过程中显示和发挥出来的能力,如员工在工作中判断理解指令时,是否正确、迅速;协调上下级关系是否得体、有效等;依据员工在工作中的行为和表现,参照标准或要求,评价他能力发挥得如何,评价其能力是大是小、是强是弱等.总之,能力考评是根据工作说明书和职务说明书要求,对应于员工所担任的工作,对其能力所做出的评定过程(见表2).

1 3 态度考评指标
态度考评与其他项目的区别是,不管职位高低和能力大小,态度考评的重点是工作的认真度、责任度、努力程度是否有干劲、有热情,是否忠于职守,是否服从命令等(参见表3).

2 DEA综合评判模型
采用改进的DEA方法是将所有有效的决策单元(DMU)两两分成一组,分别运用DEA方法进行比较,构成一个由客观数据构成的两两效率值比较的判断矩阵,接着利用AHP法解析出最大的特征值向量和相应的特征向量.
该方法的优点是消除了AHP方法本身的主观性,也不需要对判断矩阵进行一致性检验[5,6].
2 1 C2GS2模型评价
首先对所有的决策单元用CGS模型进行计算.模型如下:

2 2 DEA构造判断矩阵
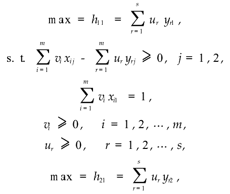
假设有n个决策单元,每个决策单元具有m个输入指标和s个输出指标.以任意选出的两个决策单元1和2为例,分别计算其有效值.因为即使相对有效值为1的决策单元在总体上也不一定都好,它们或许只是在不合适的或不现实的权重结构下,相对有效值达到1,可能只是在对它们有最有力的极少的输入、输出项目上权重过大,而忽略了其他的输入、输出项目.为了区分决策单元是否在总体比较好,采用交叉效率评价提供在其他决策单元最有利的权重下,一个决策单元的交叉有效性.具体模型如下:


其中:ur为输出r的权数;vi为输入i的权数;yrj为决策单元j的输出r的值;xij为决策单元j的输入i的值;s为输出个数;m为输入个数;n为决策单元个数.同样地,可以计算出hbb和hab.
那么对于决策单元1和决策单元2的效率比值为
a12=(h11+h12)/(h22+h21).
一般地,对于n个决策单元两两效率比值
aij=(hji+hij)/(hjj+hji),aji=1/aij,
aii=1.
因此,由上面的DEA方法可以构造出n×n矩阵.并且该方法构造出的判断矩阵不包含主观性,不需要进行一致性检验.
2 3 AHP方法排序
根据上一步中有DEA法求得的两两比较判断矩阵,运用层次分析法解析出最大的特征值和相应的特征向量.因为这里的AHP只有一层,所以排列在第j位的特征向量也就反映了第j个决策单元的优先度.
3 实例分析
西气东输某标段管道工程有五个焊机组(DMU1~DMU5),对其五个工长月绩效进行评价,评价指标按照输入、输出性质分为工作时间、员工数、总成本及各种费用、能力态度总评成绩;节约工日数、甲方满意度、降低成本额.工作时间是各个工长在完成本月计划的过程中投入的时间,员工数是指下属员工总数,总成本及各种费用包括原材料成本、人事费用、仓储运输费用等各项成本与费用总和,能力态度总评成绩是态度、能力考核的得分,甲方满意度则是以1为满分,扣除由于管理疏漏、质量缺陷等方面引起的甲方投诉数量相应的百分数所得.所取五个工长的月绩效如表4所示.

根据各焊机组投入、产出,运用C2GS2模型进行测算,结果见表5.
由计算结果可以知道,五个焊机组都为DEA有效决策单元.这说明,这五个工长的工作都是依据施工进度,人力、资源调度都基本上达到最佳.根据改进的DEA模型,计算出五个决策单元的有效值如表6所示.


通过两两比较得出DEA模型的判断矩阵:

采用AHP方法进行排序得出决策单元的权重,由此得出五个焊机组工长的绩效分别为0 1562,0 26954,0 12698,0 11452,0 23842.
参考文献:
[1]盛昭瀚,朱 乔,吴广谋.DEA理论、方法与应用[M].北京:科学出版社,1996.
[2]AGRELLPJ,BOGETOFTP,TINDJ.DynamicDEAyardsticksinScandinavianelectricitydistribution[J].UnderRevisionforJournalofProductivityAnalysis,2002b.
[3]李发勇,李光金,张茂勤.DEA方法在员工绩效评价中的应用[J].商业研究,2005(1):1-4.
[4]张 雁,王幼松.对我国建筑施工企业总体生产技术效率的研究-数据包围分析(DEA)方法的模型与应用[J].烟台大学学报(自然科学与工程版),1998(11):222-227.
[5]ZillaSinuany-Stern,AbrahamMehrez,YossiHadad,1999,AnDEA/AHPmethodforrankingdecisionmakingunits.EuropeanJournalofOperationalResearch.
[6]常 丹,王金银.改进AHP主观性的DEA/AHP新模型[J].价值工程,2004(9):32-34.
来源: 《建筑中文网》.原文网址:http://www.pipcn.net/research/200611/944.htm
也许您还喜欢阅读:
