请告诉我们您的知识需求以及对本站的评价与建议。
满意 不满意
Email:
高等级公路养护质量综合评价模型
栏目最新
- 东莞至惠州城际铁路隧道安全风险评估与管理
- 高层建筑给排水系统安装施工技术
- 高层建筑施工质量的五个控制要点
- 房屋建筑工程质量问题、原因和防止措施
- 地下停车场防水工程施工质量预控措施
- 试析绿色施工技术在建筑工程中的应用
- 施工企业预算管理措施及案例分析
- 岩溶地区隧道施工综合预报技术案例分析
- 预制块镶面现浇混凝土隧道洞门施工方法
- 建筑施工模板应用技术简析
网站最新
内容提示:针对高等级公路养护管理的需求,建立了一种高等级公路养护质量综合评价体系框架,将高等级公路划分为路基、路面、桥梁、涵洞、绿化和沿线设施等6个子系统.基于该种体系框架,就高等级公路养护质量综合评价模型展开讨论.对传统层次分析原理进行了改进,通过聚类分析确定专家个体
我国高等级公路是指高速公路和一、二级公路. 随着我国公路建设里程的增长, 高等级公路在整个公路网中所占的比重逐渐增大,高等级公路对整个公路网和国民经济的重要性日益显著. 高等级公路养护管理正成为我国公路领域的一项重要任务,而高等级公路养护质量评价是高等级公路养护管理的基础和关键[ 1, 2 ] .
目前国内外公路养护质量评价理论体系研究主要集中在路面养护质量评价上[ 3~5 ] . 我国现有的《公路养护技术规范》是20 世纪90 年代提出的,其养护质量评价体系以路面、桥梁为主, 只单独进行路面、桥梁养护质量评价, 没有形成系统的公路养护质量评价体系框架. 2002年由交通部颁布的《高速公路养护质量检评方法》(以下简称新规范)将高速公路养护质量评价分为路基、路面、桥涵构造物、沿线设施等4个组成部分, 对高速公路养护质量综合评价理论体系进行了有益的探讨,但新规范仍主要集中在路面、桥梁部分, 对高速公路其余子系统重视不够, 且适用范围仅限在高速公路, 不能满足高等级公路养护质量管理的需求.
高等级公路交通量大,行车速度快. 随着公路出行者对出行质量要求的提高,高等级公路对行驶舒适性、行车安全性、公路沿线生态和景观等功能的要求不断提高. 为满足高等级公路使用性能要求,养护质量综合评价显得尤为迫切和重要. 公路养护质量评价一般采用权重模型以考虑各子系统养护质量对系统综合养护质量的影响,因此确定合理的权重值是公路养护质量评价模型的关键. 此外,高等级公路各子系统是一个有机的整体, 受高等级公路使用性能要求影响,维持不同子系统养护质量均衡性日益显得重要. 从现有公路养护技术规范来看,尚没有建立有效考虑不同子系统养护质量均衡性的评价理论. 本文在提出高等级公路养护质量综合评价体系框架的基础上,拟对高等级公路养护质量评价模型的权重值确定方法和不同子系统养护质量均衡性评价进行分析,探讨建立一种新型高等级公路养护质量综合评价模型.
1 综合评价体系框架
高等级公路包括路基、路面、桥梁、绿化、沿线设施、涵洞等六大组成部分. 高等级公路养护质量综合评价包括高等级公路使用性能参数采集、评价指标计算、(子)系统养护质量评价等,可分为数据采集模块、分项评价模块和综合评价模块等三大模块. 高等级公路养护质量综合评价的目的是根据高等级公路使用性能参数评价高等级公路(子)系统使用性能状况,以便据此采取合适的养护管理措施以满足高等级公路使用性能的要求. 高等级公路养护质量综合评价体系框架如图1所示.

2 综合评价模型权重系数算法
高等级公路养护质量评价模型分为2个层次.层次1将采集的高等级公路使用性能参数转化为相应的主观评价指标; 层次2利用(子)系统分项评价指标计算(子)系统综合评价值[ 6 ] . 建立第1个层次的评价模型主要是找出各高等级公路使用性能评价指标与不同使用性能参数间的映射关系,这可以通过对试验路段的主、客观参数采集后选择合适的模型结构, 利用多元统计理论回归分析得出. 限于篇幅,本文将重点对第2个层次评价模型的建模方法进行分析.
高等级公路(子)系统综合评价模型是将(子)系统分项评价指标转化为(子) 系统综合评价指标. 高等级公路(子)系统综合评价模型一般采用权重模型,模型建立的关键在于确定各评价指标的权重值,各权重值的确定通常采用层次分析法. 层次分析法是20世纪70年代美国运筹学家Satty提出的一种有效的确定权重模型不同指标权重值的系统分析方法,其实质是通过比较不同指标的相对重要度,建立两两指标的判断矩阵后计算各指标的权重值. 本文将建立基于层次分析原理的高等级公路养护质量综合评价模型,并通过专家问卷获得评价指标判断矩阵. 表1是对本文采用的层次分析法要素比较标度的描述.

根据层次分析原理,利用专家问卷所得的评价指标判断矩阵可以算出专家个体权重向量. 设个体权重向量的样本数为N, 对由m 项评价指标组成的评价模型,可得专家个体权重向量Xi = { xi1 , xi2 ,…, x im } ( i = 1, 2, …, N) .
传统的层次分析法对不同评价者给出的个体权重向量采用取均值的方法获得模型权重值. 由于不同专家所处的社会环境、经历、文化背景、要求均不尽相同,从而给出的判断矩阵和求出的专家个体权重向量也不尽相同,采用简单取均值的方法不能反映这种特性[ 7 ] . 模型权重计算涉及到每位专家的权重问题,即个体权重向量的权重, 但这并不能简单根据专家个人的声望、权威性等因素来确定.模型权重向量是专家个体权重向量的综合体现. 根据专家个体权重向量与模型权重向量的关系,本文采用聚类分析的方法, 对专家个体权重向量进行聚类分析,根据专家个体权重向量的特征将其聚为不同的类并赋予不同的权重值. 最后将不同专家个体权重向量加权平均,以求得各评价模型权重向量值,其计算过程如下.
设由专家问卷所得判断矩阵计算得到的专家个体权重向量矩阵为

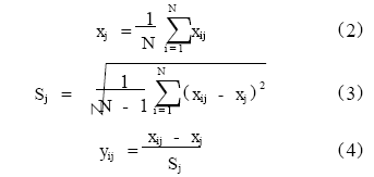
为防止由于不同专家个体权重系数值相差悬殊所带来的不合理性,首先对各专家个体权重向量标准化,即

经标准化后可得标准化专家个体权重向量Yi= { yi1 , yi2 , …, yim } ( i = 1, 2, …, N) ,对标准化专家个体权重向量按照系统聚类法进行聚类. 本文采用类平均法计算类与类之间距离,样本间距离取欧式距离.
聚类分析中,聚类数目K是影响聚类效果的一个重要因素[ 8 ] . 文献[ 8 ] 建立了一种有效的聚类数目计算方法. 本文按照该方法计算不同模型专家个体权重向量的最佳聚类个数,然后按照系统聚类法计算原理对样本进行聚类分析, 直至类数为K为止. 至此可获得原专家个体权重向量的K类划分.对聚类分析所得的K类专家个体权重向量,计算每类的样本数φp (p = 1, 2, …, K) . 设第i专家个体权重向量属于第p类,定义第p类包含的专家个体权重向量个数φp 与专家个体权重向量总数N的比值为专家个体权重向量Xi 的置信因子,即

为下文表述方便,记φp 为φp i.
对于K类专家个体权重向量,同一类具有相同的置信因子,其表达的信息可以认为是相似的. 类容量较大的类中其专家个体权重向量所表达的评价信息符合较多评价者的意见,对应的权重向量应赋予较大的权重系数,类容量较小的类中其专家个体权重向量所对应的权重向量应赋予较小的权重系数. 设第i个专家个体权重向量的权重系数δi 与专家个体权重Xi 的置信因子ai 成正比,即

由于

将式(6) 代入式(7) 可得

将各专家个体权重向量与对应的权重值加权,即可得评价模型的权重向量,此即基于聚类层次分析的高等级公路养护质量综合评价模型权重向量,即


3 分组变权综合评价模型
按照聚类层次分析原理,可以充分考虑不同专家个体权重向量的差异性,通过确定不同专家个体权重向量的权重系数算出高等级公路养护质量综合评价模型中不同权重系数的常权值. 除此之外,高等级公路养护质量综合评价还要考虑各评价指标的均衡性,以反映高等级公路使用性能的需求.现有公路养护技术规范采用常权模型,对评价指标间的均衡性反应迟钝,不能反映高等级公路使用性能的均衡性要求[ 9 ] . 本文探讨利用分组变权原理建立高等级公路养护质量综合评价变权模型,以考虑不同评价指标的均衡性.
与常权评价模型相比,变权评价模型能较好地解决各评价指标间的均衡性问题. 在变权评价模型中,只要有一个评价指标值太低, 哪怕该评价指标在总体中是最不重要的,总体评价指标值也将迅速接近零. 这种变权评价模型对低水平的评价指标值减少反应灵敏,而对高水平的评价指标值的增加反应迟钝.
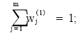
定义1[ 10 ] 设w( 1)j : (0, 1) m → (0, 1) , { x1 , x2 ,⋯, xm } → w(1)j ( x1 , x2 , ⋯, xm ) ( j = 1, 2, ⋯, m) 满足:
①归一性

②连续性 w(1)j 关于每个变元连续;
③惩罚性 w(1)j 关于xj 单调减少, 关于xi ( i≠ j) 单调增加.
则称{w(1)1 , w(1)2 , ⋯, w(1)m } 为一组变权. 本文中,采用下式计算变权评价模型权重值[ 11 ] :
目前国内外公路养护质量评价理论体系研究主要集中在路面养护质量评价上[ 3~5 ] . 我国现有的《公路养护技术规范》是20 世纪90 年代提出的,其养护质量评价体系以路面、桥梁为主, 只单独进行路面、桥梁养护质量评价, 没有形成系统的公路养护质量评价体系框架. 2002年由交通部颁布的《高速公路养护质量检评方法》(以下简称新规范)将高速公路养护质量评价分为路基、路面、桥涵构造物、沿线设施等4个组成部分, 对高速公路养护质量综合评价理论体系进行了有益的探讨,但新规范仍主要集中在路面、桥梁部分, 对高速公路其余子系统重视不够, 且适用范围仅限在高速公路, 不能满足高等级公路养护质量管理的需求.
高等级公路交通量大,行车速度快. 随着公路出行者对出行质量要求的提高,高等级公路对行驶舒适性、行车安全性、公路沿线生态和景观等功能的要求不断提高. 为满足高等级公路使用性能要求,养护质量综合评价显得尤为迫切和重要. 公路养护质量评价一般采用权重模型以考虑各子系统养护质量对系统综合养护质量的影响,因此确定合理的权重值是公路养护质量评价模型的关键. 此外,高等级公路各子系统是一个有机的整体, 受高等级公路使用性能要求影响,维持不同子系统养护质量均衡性日益显得重要. 从现有公路养护技术规范来看,尚没有建立有效考虑不同子系统养护质量均衡性的评价理论. 本文在提出高等级公路养护质量综合评价体系框架的基础上,拟对高等级公路养护质量评价模型的权重值确定方法和不同子系统养护质量均衡性评价进行分析,探讨建立一种新型高等级公路养护质量综合评价模型.
1 综合评价体系框架
高等级公路包括路基、路面、桥梁、绿化、沿线设施、涵洞等六大组成部分. 高等级公路养护质量综合评价包括高等级公路使用性能参数采集、评价指标计算、(子)系统养护质量评价等,可分为数据采集模块、分项评价模块和综合评价模块等三大模块. 高等级公路养护质量综合评价的目的是根据高等级公路使用性能参数评价高等级公路(子)系统使用性能状况,以便据此采取合适的养护管理措施以满足高等级公路使用性能的要求. 高等级公路养护质量综合评价体系框架如图1所示.

2 综合评价模型权重系数算法
高等级公路养护质量评价模型分为2个层次.层次1将采集的高等级公路使用性能参数转化为相应的主观评价指标; 层次2利用(子)系统分项评价指标计算(子)系统综合评价值[ 6 ] . 建立第1个层次的评价模型主要是找出各高等级公路使用性能评价指标与不同使用性能参数间的映射关系,这可以通过对试验路段的主、客观参数采集后选择合适的模型结构, 利用多元统计理论回归分析得出. 限于篇幅,本文将重点对第2个层次评价模型的建模方法进行分析.
高等级公路(子)系统综合评价模型是将(子)系统分项评价指标转化为(子) 系统综合评价指标. 高等级公路(子)系统综合评价模型一般采用权重模型,模型建立的关键在于确定各评价指标的权重值,各权重值的确定通常采用层次分析法. 层次分析法是20世纪70年代美国运筹学家Satty提出的一种有效的确定权重模型不同指标权重值的系统分析方法,其实质是通过比较不同指标的相对重要度,建立两两指标的判断矩阵后计算各指标的权重值. 本文将建立基于层次分析原理的高等级公路养护质量综合评价模型,并通过专家问卷获得评价指标判断矩阵. 表1是对本文采用的层次分析法要素比较标度的描述.

根据层次分析原理,利用专家问卷所得的评价指标判断矩阵可以算出专家个体权重向量. 设个体权重向量的样本数为N, 对由m 项评价指标组成的评价模型,可得专家个体权重向量Xi = { xi1 , xi2 ,…, x im } ( i = 1, 2, …, N) .
传统的层次分析法对不同评价者给出的个体权重向量采用取均值的方法获得模型权重值. 由于不同专家所处的社会环境、经历、文化背景、要求均不尽相同,从而给出的判断矩阵和求出的专家个体权重向量也不尽相同,采用简单取均值的方法不能反映这种特性[ 7 ] . 模型权重计算涉及到每位专家的权重问题,即个体权重向量的权重, 但这并不能简单根据专家个人的声望、权威性等因素来确定.模型权重向量是专家个体权重向量的综合体现. 根据专家个体权重向量与模型权重向量的关系,本文采用聚类分析的方法, 对专家个体权重向量进行聚类分析,根据专家个体权重向量的特征将其聚为不同的类并赋予不同的权重值. 最后将不同专家个体权重向量加权平均,以求得各评价模型权重向量值,其计算过程如下.
设由专家问卷所得判断矩阵计算得到的专家个体权重向量矩阵为

为防止由于不同专家个体权重系数值相差悬殊所带来的不合理性,首先对各专家个体权重向量标准化,即

经标准化后可得标准化专家个体权重向量Yi= { yi1 , yi2 , …, yim } ( i = 1, 2, …, N) ,对标准化专家个体权重向量按照系统聚类法进行聚类. 本文采用类平均法计算类与类之间距离,样本间距离取欧式距离.
聚类分析中,聚类数目K是影响聚类效果的一个重要因素[ 8 ] . 文献[ 8 ] 建立了一种有效的聚类数目计算方法. 本文按照该方法计算不同模型专家个体权重向量的最佳聚类个数,然后按照系统聚类法计算原理对样本进行聚类分析, 直至类数为K为止. 至此可获得原专家个体权重向量的K类划分.对聚类分析所得的K类专家个体权重向量,计算每类的样本数φp (p = 1, 2, …, K) . 设第i专家个体权重向量属于第p类,定义第p类包含的专家个体权重向量个数φp 与专家个体权重向量总数N的比值为专家个体权重向量Xi 的置信因子,即

为下文表述方便,记φp 为φp i.
对于K类专家个体权重向量,同一类具有相同的置信因子,其表达的信息可以认为是相似的. 类容量较大的类中其专家个体权重向量所表达的评价信息符合较多评价者的意见,对应的权重向量应赋予较大的权重系数,类容量较小的类中其专家个体权重向量所对应的权重向量应赋予较小的权重系数. 设第i个专家个体权重向量的权重系数δi 与专家个体权重Xi 的置信因子ai 成正比,即

由于

将式(6) 代入式(7) 可得

将各专家个体权重向量与对应的权重值加权,即可得评价模型的权重向量,此即基于聚类层次分析的高等级公路养护质量综合评价模型权重向量,即


3 分组变权综合评价模型
按照聚类层次分析原理,可以充分考虑不同专家个体权重向量的差异性,通过确定不同专家个体权重向量的权重系数算出高等级公路养护质量综合评价模型中不同权重系数的常权值. 除此之外,高等级公路养护质量综合评价还要考虑各评价指标的均衡性,以反映高等级公路使用性能的需求.现有公路养护技术规范采用常权模型,对评价指标间的均衡性反应迟钝,不能反映高等级公路使用性能的均衡性要求[ 9 ] . 本文探讨利用分组变权原理建立高等级公路养护质量综合评价变权模型,以考虑不同评价指标的均衡性.
与常权评价模型相比,变权评价模型能较好地解决各评价指标间的均衡性问题. 在变权评价模型中,只要有一个评价指标值太低, 哪怕该评价指标在总体中是最不重要的,总体评价指标值也将迅速接近零. 这种变权评价模型对低水平的评价指标值减少反应灵敏,而对高水平的评价指标值的增加反应迟钝.
定义1[ 10 ] 设w( 1)j : (0, 1) m → (0, 1) , { x1 , x2 ,⋯, xm } → w(1)j ( x1 , x2 , ⋯, xm ) ( j = 1, 2, ⋯, m) 满足:
①归一性

②连续性 w(1)j 关于每个变元连续;
③惩罚性 w(1)j 关于xj 单调减少, 关于xi ( i≠ j) 单调增加.
则称{w(1)1 , w(1)2 , ⋯, w(1)m } 为一组变权. 本文中,采用下式计算变权评价模型权重值[ 11 ] :
原文网址:http://www.pipcn.net/research/200610/897.htm
也许您还喜欢阅读:
