三氟碘甲烷作为冰箱制冷剂的理论循环分析
- 大学与建筑
 - 从日本直岛的建设过程联想中国当代建筑发展
 - 美国建设工程施工与管理学科概述
 - 梁思成在新中国的人际境遇
 - 哈尔滨近代建筑风格:结构柱和装饰柱
 - 唐代帝王陵墓建筑的三个特点
 - 宋金时期晋东南建筑文化特点
 - 汉武帝与汉代艺术设计
 - 雅安市雨城区上里古镇的建筑艺术与乡村景观
 - 倭马亚建筑流派:阿拉伯文化内涵在建筑艺术上的体现
 
内容提示:通过对环保工质三氟碘甲烷(CF3I)的饱和蒸汽压曲线、冰箱名义工况和变工况下循环性能等三方面的理论分析,发现CF3I和CF3I的摩尔组成在50%-65%范围的CF3IHC290混合工质,理论循环性能与CFC12接近,具有作为冰箱中CFC12灌注式替代物的潜力。
延伸阅读:CF3I CF3I-HC290 冰箱制冷剂 工程热物理 理论循环分析
王怀信 张宇 郑臣明 马利敏
摘要:通过对环保工质三氟碘甲烷(CF3I)的饱和蒸汽压曲线、冰箱名义工况和变工况下循环性能等三方面的理论分析,发现CF3I和CF3I的摩尔组成在50%-65%范围的CF3I/HC290混合工质,理论循环性能与CFC12接近,具有作为冰箱中CFC12灌注式替代物的潜力。
关键词:工程热物理 冰箱制冷剂 理论循环分析 CF3I CF3I/HC290
1 引言
冰箱制冷剂CFC12的现有替代物主要有HFC134a、HC600a和HFC152a/HCFC22,它们分别在加工工艺、可燃性、环保和热工性能方面存在缺陷[1,2],寻求新型环保节能的冰箱工质仍是人们研究的方向。(参考《建筑中文网》)
三氟碘甲烷(CF3I)是作为哈龙替代物而开发的新型灭火剂,其臭氧层破坏势(ODP)为0,20年的全球变暖势(GWP)低于5,不燃,油溶性和材料相容性很好[3],饱和蒸汽压曲线与CFC12相近,具备了作为冰箱制冷剂的前提条件(至于毒性目前还没有定论[3,4])。关于CF3I的热物性,只有文献[3]进行了较为系统的研究,目前还缺乏适用于汽液两相区的状态方程;CF3I在冰箱工况下的循环性能,还没有被系统地分析。根据文献[3]的PVT实验数据,确定同时适用于CF3I汽液两相的PT方程;并在此基础上,对CF3I在冰箱工况下的循环性能进行系统地理论分析,旨在考察其作为冰箱制冷剂的可能性。
2 理论循环分析的工具
2.1 PT状态方程两参数F、ζc的求解
PT状态方程[5]的具体形式为:
     
               (1)
     
                   (2)
     
                    (3)
     
                      (4)
     
                      (5)
     
                        (6)
     
              (7)
而是方程(8) 的最小正根。
     
              (8)
式中,R为工质的通用气体常数,Tr=T/Tc。确定PT状态方程需要具体物质的四个参数:临界压力Pc、临界温度Tc、虚拟压缩因子ζc、斜率F。对于CF3I,文献[3]给出其Pc=3.953MPa,Tc=396.44K[3]。ζc、F的求解方法如下:(1)选取n个饱和液相数据点(T、P、ρL)i (i=1,…,n);(2)假设一个ζc初值;(3)由式(6)、(7)、(8)求出Ωa、Ωb、Ωc,代入式(4)、(5)求得b、c;
     (4)由汽液平衡条件fL=fV,输入某数据点i的(T、P)i,由式(1)、(2)求出αi;(5)由n个数据点的(Ti,αi)用最小二乘法拟合式(3),求出F;(6)由ζc和已求出的Ωa,Ωb,Ωc,F,根据方程(1) ~(2)和汽液平衡条件计算各点的
与
的相对误差
,以及个数据点的平均相对误差
;
(7)以一定的步长改变ζc,重复步骤(3)-(6)。选取最小EYL所对应的ζc、F作为PT方程的参数。
文献[3]给出了CF3I在301K-Tc范围内的25个饱和液相密度点,其中3个数据点是为了确定临界点而测的;把这3个数据点当作一个临界点对待,选取其余22个数据点按照上面的步骤求解得到CF3I的F=0.6514、ζc=0.3105。
2.2 PT状态方程精度的验证
为了检验如上确定的适用于CF3I的PT方程的计算精度,以该方程对CF3I的饱和液密度、饱和蒸汽压、气相区PVT性质进行了计算,并与文献[3]的实验数据进行了对比。对比实验数据为T<0.9Tc(即T<356.80K)范围内的13个饱和液相点、22个饱和蒸汽压点和T<Tc内77组气相区数据。结果表明,饱和液密度、饱和蒸汽压、气相区密度的最大相对误差分别为2.94%、0.42%、5.87%,平均相对误差分别为1.54%、0.25%、2.17%。相对误差、平均相对误差计算式分别为
     
                    (9)
     
                         (10)
式中,X-所要比较的物理量,cal-PT方程的计算值,exp-实验值,n-数据点的个数。
冰箱的名义工况为蒸发温度tevap=-23.3℃,冷凝温度tcon=54.4℃,吸气温度、过冷温度32.2℃[6],处于上述温度区间。可见,确定的适用于CF3I的PT方程,能够用于对CF3I的冰箱循环性能分析计算,而且精度良好。
3 CF3I蒸汽压曲线的分析
从热力学角度看,替代制冷剂最好具有与原制冷剂相似的蒸汽压曲线[7]。图1为几种工质的蒸汽压对比,其中CF3I的蒸汽压方程为[3]
     
              (11)
     式中, 
A1=-7.204825,A2=1.393833,A3=-1.568372,A4=-5.776895,适用范围243K~Tc;其它制冷剂的蒸汽压数据来自ASHARE[8]。
     
由图1可见,在冰箱名义工况的温度区间内,HFC152a/HCFC22、HFC134a的蒸汽压曲线与CFC12吻合得很好;HC290的蒸汽压高于CFC12,HC600a的蒸汽压则比CFC12低许多。CF3I的蒸汽压介于HC600a与CFC12之间,在冰箱名义工况下与CFC12的最大差距为20%左右。由蒸汽压看,CF3I比HC600a更适合作为CFC12的灌注式替代物;按照优势互补原则选择HC290与CF3I组成混合物,灌注式替代CFC12的效果可能会更好。
4 CF3I作为冰箱制冷剂的循环性能分析
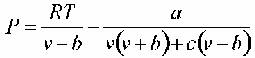
4.1 冰箱名义工况
采用带回热的冰箱制冷循环模型,即用回热器来实现工质的过冷和过热,并设工质经过回热器换热后节流前的温度与压缩机的吸气温度相等,这一温度称为回热温度。
计算CF3I的循环性能所需的理想气体比热式[3]为:
     
            (8)
式中T的单位为K,R为CF3I的气体常数,单位为J/(K·kg)。计算焓、熵的参考态为ASHRAE规定的-40℃的饱和液态,参考态上h=0kJ/kg,s=0kJ/(kg·K)。
     
在冰箱名义工况下,设压缩机的总效率为0. 70,计算了几种工质的循环性能。混合工质的蒸发温度取为蒸发器进口和露点温度的平均值,冷凝温度取其冷凝压力下的泡露点平均值。计算结果见表1。表中MIX1、MIX2分别表示质量百分比85/15、75/25的HFC152a/HCFC22。
观察表1中各种工质的性能参数,在压力水平方面,除了HC600a、HC290外,现有的几种冰箱制冷剂的蒸发压力Pevap、冷凝压力Pcond与CFC12都很接近。CF3I的压力水平与CFC12有一定偏差,其Pevap略低于大气压,蒸发器为微负压,不利于系统运行。CF3I的压比与CFC12的最接近。压缩机排气温度方面,HC600a和HC290的tdisch较低。CF3I的tdisch较高,不利于压缩机的运行;但与MIX1、MIX2十分接近,表明目前的冰箱压缩机能够承受这样的温度。CF3I的单位容积制冷量qv比CFC12小20%左右,也比HFC134a、MIX1和MIX2小,HC290比CFC12高40%左右。CF3I的COP是最高的,比CFC12高3.4%,这是CF3I的优势,而HC290是最低的。通过以上的比较可以看出:(1)CF3I的循环性能指标与CFC12相近,可以在对原有制冷系统稍作改动的基础上,作为CFC12的灌注式替代物;(2)HC290与CF3I在循环性能指标上具有互补性,若将两者组成混合物,在性能上可能更接近CFC12。
4.2 变工况
变工况循环性能分析,一般包括COP、qv、tdisch、随冷凝温度、蒸发温度、回热温度的变化规律。相比之下,各性能指标随回热温度的变化规律比随蒸发温度、冷凝温度的变化规律更重要一些,这是因为冰箱的回热器一般裸露在环境中[1],回热温度的变化幅度、频率要比蒸发温度、冷凝温度要大、要快。分析几种制冷剂循环性能指标随回热温度的变化规律,分析方法是固定蒸发温度、冷凝温度,变化回热温度,看性能指标的变化趋势。
结果如图2-图5所示。回热温度由0℃变化到50℃,几种工质的COP都降低,其中CF3I降低得最慢。在qv方面,HC290随回热温度的变化显著,其他工质的变化规律相似。随着回热温度的升高,CF3I的tdisch增加速度比其它工质快,这是不利于冰箱运行的。由于在计算中固定了蒸发温度、冷凝温度,所以对于纯质来说保持不变,而对于混合工质来说,有轻微地上升。由图还可以发现,CF3I与HC290的循环性能指标分布在CFC12的两侧。
CF3I各项性能指标随回热温度的变化所表现的规律与CFC12基本类似,数值幅度上的偏差也不太大。COP优于CFC12,tdisch较CFC12为高。总起来说,CF3I存在作为CFC12灌注式替代物的潜力。
5 CF3I/HC290混合物作为冰箱制冷剂的循环性能分析
5.1 冰箱名义工况
由以上分析可知,CF3I与HC290的循环性能具有互补性,下面具体分析不同配比下HC290/CF3I混合物的循环性能。
计算工况、压缩机总效率的选取同上。表2列出了循环性能计算结果。
     
由表1已经知道CF3I的Pevap、Pcond、q0、qv都比HC290的小,所以随着HC290在混合物中所占比例的增加,HC290/CF3I混合物的Pevap、Pcond、q0、qv都应该呈现增大的趋势,而∑、tdisch、COP应该减小,这种规律在表2中得到了很好的体现。
对比表2和表1,可以看到CF3I/HC290混合物在65/35、60/40、55/45、50/50四种摩尔百分配比下各个性能指标与CFC12吻合得很好。
     
     
     

5.2变工况
对上面所给4种配比下的CF3I/HC290混合物进行了循环性能参数随回热温度变化规律的计算。结果表明,混合物的循环性能与CFC12十分接近,从理论循环分析的角度看,是CFC12理想的灌注式替代物。
图2-图5中列出了摩尔百分比为65/35(质量百分比为89.2/10.8)的CF3I/HC290的计算结果,其它3种配比下CF3I/HC290混合物的性能也与之相近。
5.3 可燃性分析
以上4种配比的CF3I/HC290混合物中,HC290的摩尔比例最大为50%,其相应的质量比例最大为18.4%。一般家用冰箱的制冷剂的充灌量为0.1kg左右[6,9],以本文提出的4种CF3I/HC290混合物作为冰箱制冷剂,HC290的最大充灌量仅为0.0184kg。文献[10]指出,在密封性好的制冷系统中,只要碳氢化合物的充灌量小于0.15kg,那么系统就是安全的。因此,CF3I的摩尔组成在50%~65%范围的CF3I/HC290混合工质在应用中的安全性是可以得到保证的。
原文网址:http://www.pipcn.net/research/200608/8714.htm
也许您还喜欢阅读:
