请告诉我们您的知识需求以及对本站的评价与建议。
满意 不满意
Email:
广州海心沙地铁站坑中坑支护技术
栏目最新
- 东莞至惠州城际铁路隧道安全风险评估与管理
- 高层建筑给排水系统安装施工技术
- 高层建筑施工质量的五个控制要点
- 房屋建筑工程质量问题、原因和防止措施
- 地下停车场防水工程施工质量预控措施
- 试析绿色施工技术在建筑工程中的应用
- 施工企业预算管理措施及案例分析
- 岩溶地区隧道施工综合预报技术案例分析
- 预制块镶面现浇混凝土隧道洞门施工方法
- 建筑施工模板应用技术简析
网站最新
内容提示:结合海心沙地铁站建设工程实例,介绍了大型坑中坑围护结构及支撑设计。详细介绍了坑中坑支护技术的施工要点。基坑实施信息化施工,通过对基坑围护结构的深层位移及内力进行监测分析,密切关注基坑的变形趋势,保证了基坑施工安全,并结合桩体位移和轴力变化,对开挖过程中内坑与外坑的相互影响及该支护方案的经济性进行了分析。
在深基坑的建设过程中,坑中坑出现越来越多。尽管科研人员做过相关的研究,但一般都是考虑内坑开挖对大基坑变形的影响,或内坑开挖对大基坑底面土体位移的影响,较少有研究内外坑相互之间的影响或外坑对坑中坑的影响。一方面是内坑开挖深度、广度较小,而且坑中坑只是作为大基坑的一个局部下沉,内基坑只需进行简易支护甚至不需支护,对变形要求不严。海心沙地铁站坑中坑开挖深度达到12m以上,作为一个独立的地铁站下沉在地下空间的大基坑内,两者存在一定的相互作用。外围大基坑不仅只作为超载部分作用于内坑,还应考虑大基坑支护体系及施工荷载对坑中坑的影响,以此来更合理的优化坑中坑设计。对于超深坑中坑的相互作用大小及范围,还有待更多的深入研究。(参考《建筑中文网》)
1 工程概况
珠江新城核心区地下空间及中央广场占地面积约140万m2,位于珠江新城海心沙岛内。中央广场共4层,地下1,2层基坑开挖深度约10m,坑中坑开挖深度约12.6m,总体开挖深度达到22m以上,是外围大基坑内的一个独立结构。而且坑中坑的边缘与外围大基坑边缘距离都不相等,内坑东侧边缘距地下空间大基坑边缘约92m,南侧约7m,西侧约9m,北侧约27m,如图1所示。

2 地质条件
场地位于珠江三角洲冲积平原地貌单元,地面平坦。基坑开挖土层主要为可塑~硬塑残积土层及基岩全风化~微风化带。地下水以砂层孔隙潜水及基岩裂隙水为主,地下水位埋深为1.12~2.30m。根椐工程岩土工程勘察报告,场地岩土物理力学指标如表1所示。

3 围护结构及支撑设计
支护结构采用1 200mm@1 200mm人工挖孔桩,车站南北两端头采用1 500mm和1 340mm两类桩,总共160根,挖孔桩参数如表2所示。基坑冠梁尺寸东西两侧为1 400mm×1 800mm,南北为1 600mm×1 800mm。基坑在施工约2个月后,由于工期要求及施工条件影响,在大基坑开挖验槽的基础上,变更取消东西两侧的二序挖孔桩,改为挂网喷射200mm厚混凝土形成基坑侧壁,桩间距改为2 400mm,南北端头不变。桩位及测点布置如图2所示。

基坑支撑体系采用1道600mm,t=12mm的钢管临时支撑,角部设混凝土斜撑。钢支撑位于桩顶设计标高下2m,纵向水平间距约为3m(局部为4m),支撑与围护桩间采用2I45c围檩,桩顶设冠梁(见图3)。

4 施工要点
1)土方开挖 车站地下水水量不大,不设降水井。为避免地下水及雨季施工对基坑开挖的影响,在开挖期间沿挖孔桩的内侧设置临时集水坑,按纵向每隔10m布置一个,集水坑之间用排水沟连接,使基坑开挖前的地下水降至开挖面1m以下,保持基底干燥,保证土方顺利开挖。土体分3层开挖,整体上采用自北向南阶梯式传递开挖(见图3)。
2)支撑施工 钢支撑的稳定性是控制整个基坑稳定的重要因素,必须及时、准确、到位,并严格按设计图的要求施加30%~50%的预应力,保持支撑面垂直,控制支撑轴心在一条直线上。
3)监测施工 本基坑由于形式特殊、等级高、工期要求紧、周边环境复杂等,相应的监测要求也高。沿基坑纵向每隔15~20m预埋测斜管,编号为J1~J14,共14个,监测设计预警值为20mm。在围护结构外缘距基坑边0.6m处布设14个地下水位监测孔。钢支撑总共选择11处具有代表性的截面设置轴力计并进行测量,编号为G1~G11(见图2)。监测频率一般取1次/(1~3d),若变形超过有关标准或设计值时,则加密监测,保证安全。
5 坑中坑监测结果分析
5.1桩体深层位移分析
1)在车站基坑南北端头,采用两序人工挖孔桩咬合支护,结构刚度相对较大,在开挖过程中还进行了挂网喷射混凝土墙,进一步补强结构强度。监测结果表明,在整个基坑施工过程中,总体变形累计值较小,如图4,5所示,J7测点最大值为5.59mm,约为预警值的30%,与基坑开挖普遍深度12.6m之比为0.44‰;J14测点最大值为2.97mm,约为预警值的15%,与基坑开挖普遍深度12.6m之比为0.24‰,均在安全范围内。

两测点数值较小,也反映出支护体系结构刚度较大,安全系数过高,存在一定的设计浪费。可以适当考虑大基坑对坑中坑的卸载效应及大基坑支护体系的围挡作用,适当减小桩体直径及入土深度,以降低工程造价及缩短工期。
2)东西两侧测点变形值相对较大,如图6,7所示,其中J2测点最大值为11.34mm,出现在基坑下13m左右,与基坑支护桩深度20m之比为0.57‰,整体呈抛物线变化。J9测点最大值为13.35mm,出现在桩顶位置处,与基坑支护桩深度18m之比为0.67‰。两个测点最大值表明基坑变形控制极为有效,并均出现在基坑开挖至坑底阶段。东西两侧变形累计值相差较小,虽然西侧距离大基坑边缘近,约9m,但坑外进行了放坡卸载,很大程度减小了外坑的作用。桩体的深层位移在安全范围内,设计变更安全可行,对保证工程工期是很有效的。

3)在坑中坑开挖初期,西侧J6(土方最早开挖处,见图8)测点数值超过20mm的警戒值,达到28.36mm,而且变化幅度大,突变剧烈。主要原因是刚开挖未设置支撑,导致围护桩水平位移急剧增大。同时,由于外围大基坑同期进行地下2层底板施工,较多大型施工机械及器材频繁进出场地,导致桩体变形较快。在设置角撑及钢支撑后,变形及轴力趋于正常,变化范围也相应减小,与紧邻的J7测点变化趋势及范围一致。这也说明在这类超大、超深坑中坑工程中,外坑活动对内坑的影响是客观存在的。
5.2轴力分析

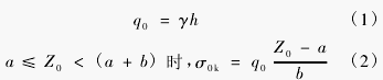
在基坑开挖深约8m时,开始对钢支撑体系轴力进行监测,选取基坑最早开挖南侧角撑G2监测点(见图9)及最迟开挖北侧钢支撑G8监测点进行分析(见图10)。支撑轴力的监测数据表明,角撑及钢支撑轴力基本稳定,角撑最大轴力值为207.14kN,钢支撑最大值为468.33kN,超过角撑值的2倍。说明基坑角部受力较小,一方面是由于土层开挖顺序引起,也与南北两端支护结构刚度大相坑中坑东侧距离大基坑较远,可以仅考虑施工荷载的影响。坑中坑西侧距离外围大基坑仅9m,小于坑中坑的开挖深度,以西侧的最大轴力G8测点钢支撑计算,依据《广州地区建筑基坑支护技术规定》98—02中5.2.6条规定(见图11):


式中:σ0k为地面均布荷载在土中产生的竖向应力;σ1k为地面局部荷载在土中产生的竖向应力。考虑外围大基坑土体超载计算的σ0k为14kPa,大基坑外超载取20kPa,不计大基坑的施工影响,计算得钢支撑处的最大支反力为768.57kN,设计轴力取为1 500kN,预加轴力为500kN。监测轴力最大值为计算值的60.93%,为设计值的31.22%,一道钢支撑可以满足基坑的安全性,也不失经济性原则。
6 结语
本工程作为一类特殊形式坑中坑基坑,东西侧采用人工挖孔桩+200mm厚混凝土墙+1道内支撑及角撑、南北端头采用二序人工挖孔桩咬合支护结构,施工过程严格控制开挖分步和尺寸、开挖时限、支撑时限、支撑预加轴力等各道工序,在开挖深度大、工期要求等紧因素影响下顺利完成,表明该支护结构方案及施工方案有效可行。
参考文献:
[1]龚晓南.关于基坑工程的几点思考[J].土木工程学报,2005,38(9):99-102,108.
[2]吴铭炳,林大丰,戴一鸣,等.坑中坑基坑支护设计与监测[J].岩土工程学报,2006,28(S1):1569-1572.
[3]中国建筑科学研究院.JGJ120—99建筑基坑支护技术规程[S].北京:中国建筑工业出版社,1999.
[4]赵志缙.简明深基坑工程设计施工手册[M].北京:中国建筑工业出版社,2000.
[5]陈乐意,李镜培,梁发云,等.坑中坑对基坑围护结构水平位移影响数值分析[J].岩土工程学报,2008,30(S1):59-61.
[6]袁俊利,傅鑫谊,刘春安.北京东直门交通枢纽基坑工程设计施工技术[J].施工技术,2009,38(5):82-84. 来源: 《建筑中文网》.
1 工程概况
珠江新城核心区地下空间及中央广场占地面积约140万m2,位于珠江新城海心沙岛内。中央广场共4层,地下1,2层基坑开挖深度约10m,坑中坑开挖深度约12.6m,总体开挖深度达到22m以上,是外围大基坑内的一个独立结构。而且坑中坑的边缘与外围大基坑边缘距离都不相等,内坑东侧边缘距地下空间大基坑边缘约92m,南侧约7m,西侧约9m,北侧约27m,如图1所示。

2 地质条件
场地位于珠江三角洲冲积平原地貌单元,地面平坦。基坑开挖土层主要为可塑~硬塑残积土层及基岩全风化~微风化带。地下水以砂层孔隙潜水及基岩裂隙水为主,地下水位埋深为1.12~2.30m。根椐工程岩土工程勘察报告,场地岩土物理力学指标如表1所示。

3 围护结构及支撑设计
支护结构采用1 200mm@1 200mm人工挖孔桩,车站南北两端头采用1 500mm和1 340mm两类桩,总共160根,挖孔桩参数如表2所示。基坑冠梁尺寸东西两侧为1 400mm×1 800mm,南北为1 600mm×1 800mm。基坑在施工约2个月后,由于工期要求及施工条件影响,在大基坑开挖验槽的基础上,变更取消东西两侧的二序挖孔桩,改为挂网喷射200mm厚混凝土形成基坑侧壁,桩间距改为2 400mm,南北端头不变。桩位及测点布置如图2所示。

基坑支撑体系采用1道600mm,t=12mm的钢管临时支撑,角部设混凝土斜撑。钢支撑位于桩顶设计标高下2m,纵向水平间距约为3m(局部为4m),支撑与围护桩间采用2I45c围檩,桩顶设冠梁(见图3)。

4 施工要点
1)土方开挖 车站地下水水量不大,不设降水井。为避免地下水及雨季施工对基坑开挖的影响,在开挖期间沿挖孔桩的内侧设置临时集水坑,按纵向每隔10m布置一个,集水坑之间用排水沟连接,使基坑开挖前的地下水降至开挖面1m以下,保持基底干燥,保证土方顺利开挖。土体分3层开挖,整体上采用自北向南阶梯式传递开挖(见图3)。
2)支撑施工 钢支撑的稳定性是控制整个基坑稳定的重要因素,必须及时、准确、到位,并严格按设计图的要求施加30%~50%的预应力,保持支撑面垂直,控制支撑轴心在一条直线上。
3)监测施工 本基坑由于形式特殊、等级高、工期要求紧、周边环境复杂等,相应的监测要求也高。沿基坑纵向每隔15~20m预埋测斜管,编号为J1~J14,共14个,监测设计预警值为20mm。在围护结构外缘距基坑边0.6m处布设14个地下水位监测孔。钢支撑总共选择11处具有代表性的截面设置轴力计并进行测量,编号为G1~G11(见图2)。监测频率一般取1次/(1~3d),若变形超过有关标准或设计值时,则加密监测,保证安全。
5 坑中坑监测结果分析
5.1桩体深层位移分析
1)在车站基坑南北端头,采用两序人工挖孔桩咬合支护,结构刚度相对较大,在开挖过程中还进行了挂网喷射混凝土墙,进一步补强结构强度。监测结果表明,在整个基坑施工过程中,总体变形累计值较小,如图4,5所示,J7测点最大值为5.59mm,约为预警值的30%,与基坑开挖普遍深度12.6m之比为0.44‰;J14测点最大值为2.97mm,约为预警值的15%,与基坑开挖普遍深度12.6m之比为0.24‰,均在安全范围内。

两测点数值较小,也反映出支护体系结构刚度较大,安全系数过高,存在一定的设计浪费。可以适当考虑大基坑对坑中坑的卸载效应及大基坑支护体系的围挡作用,适当减小桩体直径及入土深度,以降低工程造价及缩短工期。
2)东西两侧测点变形值相对较大,如图6,7所示,其中J2测点最大值为11.34mm,出现在基坑下13m左右,与基坑支护桩深度20m之比为0.57‰,整体呈抛物线变化。J9测点最大值为13.35mm,出现在桩顶位置处,与基坑支护桩深度18m之比为0.67‰。两个测点最大值表明基坑变形控制极为有效,并均出现在基坑开挖至坑底阶段。东西两侧变形累计值相差较小,虽然西侧距离大基坑边缘近,约9m,但坑外进行了放坡卸载,很大程度减小了外坑的作用。桩体的深层位移在安全范围内,设计变更安全可行,对保证工程工期是很有效的。

3)在坑中坑开挖初期,西侧J6(土方最早开挖处,见图8)测点数值超过20mm的警戒值,达到28.36mm,而且变化幅度大,突变剧烈。主要原因是刚开挖未设置支撑,导致围护桩水平位移急剧增大。同时,由于外围大基坑同期进行地下2层底板施工,较多大型施工机械及器材频繁进出场地,导致桩体变形较快。在设置角撑及钢支撑后,变形及轴力趋于正常,变化范围也相应减小,与紧邻的J7测点变化趋势及范围一致。这也说明在这类超大、超深坑中坑工程中,外坑活动对内坑的影响是客观存在的。
5.2轴力分析

在基坑开挖深约8m时,开始对钢支撑体系轴力进行监测,选取基坑最早开挖南侧角撑G2监测点(见图9)及最迟开挖北侧钢支撑G8监测点进行分析(见图10)。支撑轴力的监测数据表明,角撑及钢支撑轴力基本稳定,角撑最大轴力值为207.14kN,钢支撑最大值为468.33kN,超过角撑值的2倍。说明基坑角部受力较小,一方面是由于土层开挖顺序引起,也与南北两端支护结构刚度大相坑中坑东侧距离大基坑较远,可以仅考虑施工荷载的影响。坑中坑西侧距离外围大基坑仅9m,小于坑中坑的开挖深度,以西侧的最大轴力G8测点钢支撑计算,依据《广州地区建筑基坑支护技术规定》98—02中5.2.6条规定(见图11):


式中:σ0k为地面均布荷载在土中产生的竖向应力;σ1k为地面局部荷载在土中产生的竖向应力。考虑外围大基坑土体超载计算的σ0k为14kPa,大基坑外超载取20kPa,不计大基坑的施工影响,计算得钢支撑处的最大支反力为768.57kN,设计轴力取为1 500kN,预加轴力为500kN。监测轴力最大值为计算值的60.93%,为设计值的31.22%,一道钢支撑可以满足基坑的安全性,也不失经济性原则。
6 结语
本工程作为一类特殊形式坑中坑基坑,东西侧采用人工挖孔桩+200mm厚混凝土墙+1道内支撑及角撑、南北端头采用二序人工挖孔桩咬合支护结构,施工过程严格控制开挖分步和尺寸、开挖时限、支撑时限、支撑预加轴力等各道工序,在开挖深度大、工期要求等紧因素影响下顺利完成,表明该支护结构方案及施工方案有效可行。
参考文献:
[1]龚晓南.关于基坑工程的几点思考[J].土木工程学报,2005,38(9):99-102,108.
[2]吴铭炳,林大丰,戴一鸣,等.坑中坑基坑支护设计与监测[J].岩土工程学报,2006,28(S1):1569-1572.
[3]中国建筑科学研究院.JGJ120—99建筑基坑支护技术规程[S].北京:中国建筑工业出版社,1999.
[4]赵志缙.简明深基坑工程设计施工手册[M].北京:中国建筑工业出版社,2000.
[5]陈乐意,李镜培,梁发云,等.坑中坑对基坑围护结构水平位移影响数值分析[J].岩土工程学报,2008,30(S1):59-61.
[6]袁俊利,傅鑫谊,刘春安.北京东直门交通枢纽基坑工程设计施工技术[J].施工技术,2009,38(5):82-84. 来源: 《建筑中文网》.
原文网址:http://www.pipcn.net/research/201110/15069.htm
也许您还喜欢阅读:
