请告诉我们您的知识需求以及对本站的评价与建议。
满意 不满意
Email:
结合节能改造的办公楼抗震加固
栏目最新
- 建筑结构鉴定与加固改造技术的进展
- 公路工程养护管理体制问题的思考
- 某小高层纠倾加固技术
- 运用“破窗理论”,搞好高校物业管理
- 钢筋混凝土模型框架振动台试验分析和抗震性能评估
- 5.12地震后震区农村建筑物震害分析和对策
- 对影响建筑寿命因素的探讨
- 建筑修复也是一种挑战
- 淮安市楚州医院病房楼走廊吊顶发霉与结露分析
- 火灾报警控制系统设计在建筑中的应用
网站最新
内容提示:抗震加固和既有建筑节能改造是当前国内老建筑物面临的重大课题,是两者割裂处理还是统筹兼顾,值得业内人士思考。本文以50年龄期多层砌体结构为例,详细介绍两种改造的全过程,充分利用两者的结合点,在对外墙采用细石混凝土钢筋网结构加固的基础上,再加保温层;并对能耗影响较大的外窗,在原窗保留的前提下,外加塑钢窗构成满足节能标准的双层窗。整个改造过程说明,对旧建筑物改造一定要兼顾经济技术的原则,灵活处理,才能以最小的投入获得最大的收益。
0 前 言
新中国成立伊始建立起来的一批建筑物,特别是当时建造标准相对较高的一些机关事业单位办公楼,近年都面临一个难题:使用期已达到或接近结构设计使用年限,部分使用功能不满足要求,是拆除重建还是继续使用?基于很多因素,特别是资金方面考虑,很多业主倾向于装饰改造后继续使用。(参考《建筑中文网》)
按建筑物的维修改造程序,需要对结构进行安全性鉴定和抗震鉴定,以决定是否能在装饰改造后继续使用,特别是很多抗震设防标准较低的砖混结构建筑物,必须进行该项工作。另一方面,政府正在积极推行建筑节能,各级政府都有相应的节能工作目标,作为机关办公楼,在装饰改造的同时,必须相应考虑建筑节能的问题。如何将这两者有机结合起来,以最小的投入获得最大的收益?笔者结合全程参与的合肥市某机关办公楼的装饰改造项目,谈谈对这类建筑物兼顾结构加固和节能改造的处理思路和技术措施。
1 工程概况
合肥某办公楼建于1956年,主体3层,局部4层,总高度15·2m,总面积约6600m2。实心粘土砖砌体结构,纵横墙混合承重,现浇钢筋混凝土楼盖,未设置构造柱和圈梁,图1为标准层建筑平面图。1层、2层内外墙为370mm,3层、4层外墙为370mm、内墙为240mm。

2 结构鉴定及加固[1]
2.1 结构检测及鉴定
2.1.1 材料强度检测
由于原始结构图纸遗失,对办公楼进行材料强度检测:采用回弹法测梁的混凝土强度,推定值为13·4MPa;粘土砖强度检测,以取样抗压试验结果为绝对强度值,以回弹法检测结果作为相对值进行普查,确定承重砖墙强度等级约为MU7.5;采用贯入法测得1层砌筑砂浆强度为4·1MPa,其余各层均为3·5MPa。
2.1.2 楼板静载试验
取一间办公室作为试验房间,检验楼盖结构的承载能力,分级均布加载和卸载,最大均布荷载为4·29kN/m2(不包括楼盖自重)。在楼板跨中安装张线式位移计,最大弯矩截面底部沿两个方向分别安装弦变式应变计,利用放大镜读数显微镜观测开裂情况。试验荷载—挠度实测曲线及试验荷载—应变实测曲线如图2,3所示。

在整个试验过程中,直到最大加载,楼板挠度及裂缝宽度(约为0·06mm),均远小于规范的限值,结构处于弹性变形状态,未出现任何破坏标志或迹象,证明楼盖满足承载能力极限状态的性能要求。
2.1.3 墙体承载力验算
根据实测墙厚及材料强度检测结果,使用PKPM软件进行承重墙体的非抗震承载力验算。表1列出各层外墙加固前后的抗力与荷载效应之比的最大值和最小值。

2.1.4 安全性鉴定[2]
由承载力、构造、挠度、裂缝4个方面评定结构构件等级:混凝土梁、柱、板为bu;1~4层外纵窗间墙为cu;1层内纵墙为cu;3层内纵墙为cu;2,4层内纵墙为au;1层横墙为cu;其他墙体为bu。
根据上部结构的反映,墙体未出现沉降或不均匀沉降裂缝,表明地基沉降变形稳定,无不均匀沉降,评定地基基础为Au级;上部承重结构为Cu级,故结构单元安全性评级为Csu级。
2.1.5 抗震鉴定[3]
办公楼所在地区的抗震设防烈度为7度。按结构体系、房屋整体性连接、局部易损易倒部位的构造等进行第一级鉴定,其中,承重门窗间最小宽度为0·4m,小于规定值0·8m,不符合要求。需要进行第二级鉴定,该办公楼房屋为4层结构(部分层),房屋的质量和刚度沿高度分布明显不均匀,房屋平面布置不规则。根据现行《建筑抗震鉴定标准》要求,按现行国家《建筑抗震设计规范》的方法验算其抗震承载力,再根据构造进行综合评定。
2.1.6 加固改造
参照鉴定结果进行加固设计,对受压抗力与荷载效应≤0·95的墙体、抗震验算不满足要求的墙体进行加固,增设圈梁、构造柱,对办公楼入口独立砖柱予以加固。该楼的质量和刚度沿高度分布不均匀,房屋平面布置不规则,从建筑的整体抗震角度考虑,如仅对部分验算不满足要求的墙体进行加固,加固后的墙体抗震性能大大提高,原满足要求未加固的墙体在抗震时却成了薄弱处,确定对该楼墙体进行整体加固。
综合分析,对墙体采用细石混凝土钢筋网方案进行加固。间距较大的内横墙及建筑中的大拐角处墙体采用双面细石混凝土钢筋网予以加固,其余采用单面细石混凝土钢筋网。考虑到还要加保温砂浆层,细石混凝土层厚度不能太厚,计算取定为25mm,强度为C25,钢筋网为Φ6 @ 200mm。
增设圈梁构造柱,为保留原建筑风貌,间距较大纵横墙及较薄弱窗间墙处增设钢拉杆内圈梁,大拐角处增设内构造柱。构造柱与砖墙用封闭箍筋连接,钢筋通过墙上钻出的孔洞穿过墙体,在室外紧贴剔除抹灰层的墙皮,伸入构造柱与其钢筋锚牢。加内构造柱作法及墙体加固构造(带保温层)如图4,5所示。

对办公楼南立面入口独立砖柱予以外包钢加固,保证地震时的逃生通道足够安全。拆除突出屋面的原烟囱。
3 节能改造
对于既有建筑节能改造,业内虽然非常热衷,但限于资金及体制等方面的原因,各级政府所制定的建筑节能目标,实现起来难度极大。其中,各种标准规程的迟迟不能出台,也对此项工作的实质性进展不利。本次改造的标准部分参考2005年实施的《公共建筑节能设计标准》(以下简称标准)。节能改造应从围护结构和各种系统两个方面入手,办公楼的照明和空调系统按标准重新设计,此处不做讨论。
在确定围护结构的改造范围时,存在一个经济核算的问题,对于屋面,由于现有防水层保持良好,且屋面已有通风层,从节约造价及不增加结构荷载的角度考虑,此次不进行改造。只对外墙、外窗进行改造。标准中对夏热冬冷地区的外墙要求Km≤1·0W/(m2·K),外窗K≤2·8W/(m2·K)(该楼的窗墙面积比约为0·42)。
3.1 外 墙
采用在钢筋网细石混凝土的外面再加保温层和防护层,复合外墙的具体构造见图5。保温层采用胶粉聚苯颗粒保温浆料[4],由硅酸盐类胶粉料和聚苯颗粒轻骨料按一定比例加水搅拌而成,其导热系数λ≤0·059W/(m·K);防护层由水泥抗裂砂浆与耐碱玻纤网格复合而成,在防护层表面涂上高分子弹性涂料,形成一层有憎水、透气的高弹性涂层,既使防护层有很好的防水功能,又能排出保温层的水分,防护层厚约3mm;饰面层采用仿石材涂料。
外墙的热工计算按不利于保温的单面加固外墙计算,因防护层、涂料层很薄,计算中不考虑它们对保温的有利作用。外墙各计算构造层的厚度和导热系数取值见表2。

保温层的厚度δb计算由控制标准反推得到,将外墙近似作为匀质多层材料的平壁结构。外墙各材料层的热阻:

由于为外保温,且为后加钢拉杆内圈梁、内构造柱,可以忽略热桥影响,亦即外墙平均传热系数即为主墙体传热系数,K=Km≤1·0W/(m2·K),代入相关数据,即:

3.2 外窗改造
由于早期办公楼采用的单玻木窗太过破旧,办公楼1990年初已经更换为铝合金单玻窗。铝合金窗虽然美观性能好,但其保温隔热性能相对于木窗更差,该办公楼的窗墙面积比达到0·42,受窗户影响的空调能耗比重非常大。
近几年来,随着对建筑节能问题的重视,相应的保温隔热性能好的窗户类型越来越多,对于新建筑,价格达每平方米千元以上的中空玻璃窗、镀膜窗等是可以接受的,而使用在旧建筑上却感到有点大材小用,改造投资太大。
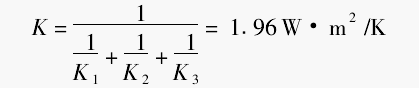
经济技术比较后[5],鉴于办公楼的外墙都为370mm厚,可采取在保留旧普通铝合金窗的基础上,在其外侧增装一个塑钢窗。那么,原来铝合金窗的传热系数K1=6·2W/(m2·K),新的塑钢窗的传热系数K2=4·7W/(m2·K),两个窗户之间至少有10mm以上的静止空气层K3≤7·3W/(m2·K),这样,组合窗的传热系数K近似计算为:

从保守的角度出发,即使不考虑静止空气层的隔热保温性能,传热系数也可以明显降低,计算为2·67W/(m2·K),完全可以超过价格不菲的较厚的6mm+12mm+6mm中空玻璃塑料窗2·72W/(m2·K)的节能效果,也满足节能标准中不超过2·8W/(m2·K)的标准。鉴于窗户得热中日辐射比重较大,办公楼还必须采用内遮阳进行夏季隔热。
新中国成立伊始建立起来的一批建筑物,特别是当时建造标准相对较高的一些机关事业单位办公楼,近年都面临一个难题:使用期已达到或接近结构设计使用年限,部分使用功能不满足要求,是拆除重建还是继续使用?基于很多因素,特别是资金方面考虑,很多业主倾向于装饰改造后继续使用。(参考《建筑中文网》)
按建筑物的维修改造程序,需要对结构进行安全性鉴定和抗震鉴定,以决定是否能在装饰改造后继续使用,特别是很多抗震设防标准较低的砖混结构建筑物,必须进行该项工作。另一方面,政府正在积极推行建筑节能,各级政府都有相应的节能工作目标,作为机关办公楼,在装饰改造的同时,必须相应考虑建筑节能的问题。如何将这两者有机结合起来,以最小的投入获得最大的收益?笔者结合全程参与的合肥市某机关办公楼的装饰改造项目,谈谈对这类建筑物兼顾结构加固和节能改造的处理思路和技术措施。
1 工程概况
合肥某办公楼建于1956年,主体3层,局部4层,总高度15·2m,总面积约6600m2。实心粘土砖砌体结构,纵横墙混合承重,现浇钢筋混凝土楼盖,未设置构造柱和圈梁,图1为标准层建筑平面图。1层、2层内外墙为370mm,3层、4层外墙为370mm、内墙为240mm。

2 结构鉴定及加固[1]
2.1 结构检测及鉴定
2.1.1 材料强度检测
由于原始结构图纸遗失,对办公楼进行材料强度检测:采用回弹法测梁的混凝土强度,推定值为13·4MPa;粘土砖强度检测,以取样抗压试验结果为绝对强度值,以回弹法检测结果作为相对值进行普查,确定承重砖墙强度等级约为MU7.5;采用贯入法测得1层砌筑砂浆强度为4·1MPa,其余各层均为3·5MPa。
2.1.2 楼板静载试验
取一间办公室作为试验房间,检验楼盖结构的承载能力,分级均布加载和卸载,最大均布荷载为4·29kN/m2(不包括楼盖自重)。在楼板跨中安装张线式位移计,最大弯矩截面底部沿两个方向分别安装弦变式应变计,利用放大镜读数显微镜观测开裂情况。试验荷载—挠度实测曲线及试验荷载—应变实测曲线如图2,3所示。

在整个试验过程中,直到最大加载,楼板挠度及裂缝宽度(约为0·06mm),均远小于规范的限值,结构处于弹性变形状态,未出现任何破坏标志或迹象,证明楼盖满足承载能力极限状态的性能要求。
2.1.3 墙体承载力验算
根据实测墙厚及材料强度检测结果,使用PKPM软件进行承重墙体的非抗震承载力验算。表1列出各层外墙加固前后的抗力与荷载效应之比的最大值和最小值。

2.1.4 安全性鉴定[2]
由承载力、构造、挠度、裂缝4个方面评定结构构件等级:混凝土梁、柱、板为bu;1~4层外纵窗间墙为cu;1层内纵墙为cu;3层内纵墙为cu;2,4层内纵墙为au;1层横墙为cu;其他墙体为bu。
根据上部结构的反映,墙体未出现沉降或不均匀沉降裂缝,表明地基沉降变形稳定,无不均匀沉降,评定地基基础为Au级;上部承重结构为Cu级,故结构单元安全性评级为Csu级。
2.1.5 抗震鉴定[3]
办公楼所在地区的抗震设防烈度为7度。按结构体系、房屋整体性连接、局部易损易倒部位的构造等进行第一级鉴定,其中,承重门窗间最小宽度为0·4m,小于规定值0·8m,不符合要求。需要进行第二级鉴定,该办公楼房屋为4层结构(部分层),房屋的质量和刚度沿高度分布明显不均匀,房屋平面布置不规则。根据现行《建筑抗震鉴定标准》要求,按现行国家《建筑抗震设计规范》的方法验算其抗震承载力,再根据构造进行综合评定。
2.1.6 加固改造
参照鉴定结果进行加固设计,对受压抗力与荷载效应≤0·95的墙体、抗震验算不满足要求的墙体进行加固,增设圈梁、构造柱,对办公楼入口独立砖柱予以加固。该楼的质量和刚度沿高度分布不均匀,房屋平面布置不规则,从建筑的整体抗震角度考虑,如仅对部分验算不满足要求的墙体进行加固,加固后的墙体抗震性能大大提高,原满足要求未加固的墙体在抗震时却成了薄弱处,确定对该楼墙体进行整体加固。
综合分析,对墙体采用细石混凝土钢筋网方案进行加固。间距较大的内横墙及建筑中的大拐角处墙体采用双面细石混凝土钢筋网予以加固,其余采用单面细石混凝土钢筋网。考虑到还要加保温砂浆层,细石混凝土层厚度不能太厚,计算取定为25mm,强度为C25,钢筋网为Φ6 @ 200mm。
增设圈梁构造柱,为保留原建筑风貌,间距较大纵横墙及较薄弱窗间墙处增设钢拉杆内圈梁,大拐角处增设内构造柱。构造柱与砖墙用封闭箍筋连接,钢筋通过墙上钻出的孔洞穿过墙体,在室外紧贴剔除抹灰层的墙皮,伸入构造柱与其钢筋锚牢。加内构造柱作法及墙体加固构造(带保温层)如图4,5所示。

对办公楼南立面入口独立砖柱予以外包钢加固,保证地震时的逃生通道足够安全。拆除突出屋面的原烟囱。
3 节能改造
对于既有建筑节能改造,业内虽然非常热衷,但限于资金及体制等方面的原因,各级政府所制定的建筑节能目标,实现起来难度极大。其中,各种标准规程的迟迟不能出台,也对此项工作的实质性进展不利。本次改造的标准部分参考2005年实施的《公共建筑节能设计标准》(以下简称标准)。节能改造应从围护结构和各种系统两个方面入手,办公楼的照明和空调系统按标准重新设计,此处不做讨论。
在确定围护结构的改造范围时,存在一个经济核算的问题,对于屋面,由于现有防水层保持良好,且屋面已有通风层,从节约造价及不增加结构荷载的角度考虑,此次不进行改造。只对外墙、外窗进行改造。标准中对夏热冬冷地区的外墙要求Km≤1·0W/(m2·K),外窗K≤2·8W/(m2·K)(该楼的窗墙面积比约为0·42)。
3.1 外 墙
采用在钢筋网细石混凝土的外面再加保温层和防护层,复合外墙的具体构造见图5。保温层采用胶粉聚苯颗粒保温浆料[4],由硅酸盐类胶粉料和聚苯颗粒轻骨料按一定比例加水搅拌而成,其导热系数λ≤0·059W/(m·K);防护层由水泥抗裂砂浆与耐碱玻纤网格复合而成,在防护层表面涂上高分子弹性涂料,形成一层有憎水、透气的高弹性涂层,既使防护层有很好的防水功能,又能排出保温层的水分,防护层厚约3mm;饰面层采用仿石材涂料。
外墙的热工计算按不利于保温的单面加固外墙计算,因防护层、涂料层很薄,计算中不考虑它们对保温的有利作用。外墙各计算构造层的厚度和导热系数取值见表2。

保温层的厚度δb计算由控制标准反推得到,将外墙近似作为匀质多层材料的平壁结构。外墙各材料层的热阻:

由于为外保温,且为后加钢拉杆内圈梁、内构造柱,可以忽略热桥影响,亦即外墙平均传热系数即为主墙体传热系数,K=Km≤1·0W/(m2·K),代入相关数据,即:

3.2 外窗改造
由于早期办公楼采用的单玻木窗太过破旧,办公楼1990年初已经更换为铝合金单玻窗。铝合金窗虽然美观性能好,但其保温隔热性能相对于木窗更差,该办公楼的窗墙面积比达到0·42,受窗户影响的空调能耗比重非常大。
近几年来,随着对建筑节能问题的重视,相应的保温隔热性能好的窗户类型越来越多,对于新建筑,价格达每平方米千元以上的中空玻璃窗、镀膜窗等是可以接受的,而使用在旧建筑上却感到有点大材小用,改造投资太大。
经济技术比较后[5],鉴于办公楼的外墙都为370mm厚,可采取在保留旧普通铝合金窗的基础上,在其外侧增装一个塑钢窗。那么,原来铝合金窗的传热系数K1=6·2W/(m2·K),新的塑钢窗的传热系数K2=4·7W/(m2·K),两个窗户之间至少有10mm以上的静止空气层K3≤7·3W/(m2·K),这样,组合窗的传热系数K近似计算为:

从保守的角度出发,即使不考虑静止空气层的隔热保温性能,传热系数也可以明显降低,计算为2·67W/(m2·K),完全可以超过价格不菲的较厚的6mm+12mm+6mm中空玻璃塑料窗2·72W/(m2·K)的节能效果,也满足节能标准中不超过2·8W/(m2·K)的标准。鉴于窗户得热中日辐射比重较大,办公楼还必须采用内遮阳进行夏季隔热。
原文网址:http://www.pipcn.net/research/201011/14519.htm
也许您还喜欢阅读:
