请告诉我们您的知识需求以及对本站的评价与建议。
满意 不满意
Email:
浅谈大型建设工程施工总平面设计
栏目最新
- 东莞至惠州城际铁路隧道安全风险评估与管理
- 高层建筑给排水系统安装施工技术
- 高层建筑施工质量的五个控制要点
- 房屋建筑工程质量问题、原因和防止措施
- 地下停车场防水工程施工质量预控措施
- 试析绿色施工技术在建筑工程中的应用
- 施工企业预算管理措施及案例分析
- 岩溶地区隧道施工综合预报技术案例分析
- 预制块镶面现浇混凝土隧道洞门施工方法
- 建筑施工模板应用技术简析
网站最新
内容提示:介绍了关于大型建设工程施工总平面设计的国内外研究现状。根据大型建设工程施工总平面的概念及特点,将其看作一个系统,采用系统工程学理论和价值工程学原理,结合专家评分法,对大型建设工程施工总平面设计方法进行了分析。以安徽凤台电厂一期工程为例,并进行了实例分析,证明了所提出的大型建设工程施工总平面设计方法是比较系统而合理的,具有一定的可操作性,可以应用于大型建设工程施工。
目前专门论述大型建设工程施工总平面设计的国内外文献并不多,施工总平面设计也没有比较成熟而系统的方法。国内外常见的指导建筑施工的文献中对施工总平面设计的论述主要针对设计原则、设计步骤等,其内容主要来自于经验。其中,《火力发电工程施工组织设计导则》对火力发电工程施工总平面设计进行了详细规定,但大多也是依据施工经验,并没有基于一定的理论支撑提出统一的设计方法。因此,有必要对大型建设工程施工总平面设计方法进行深入研究。(参考《建筑中文网》)
施工总平面设计,就是对工程施工中所有占据一定空间的要素进行的整体统筹规划和安排,是施工组织设计中各个主要环节经综合规划后反映在平面联系上的成果。其主要目的是,在施工过程中,对人员、材料、机械设施和各种为施工服务的设施所需的空间,做出最合理的分配和安排,并使它们相互间能够有效地组合和安全的运行,从而获得较高的生产率和经济效果[1]。根据工程施工总平面的特点,可以把其看作一个由有规则、相互作用、相互依赖的诸要素形成的系统,并应用系统工程理论和价值工程原理,结合实践经验,对大型建设工程施工总平面设计方法进行研究。
1 大型建设工程施工总平面设计方法
1.1 理论基础
(1)系统工程方法论中霍尔三维结构理论。霍尔三维结构是美国系统工程专家霍尔(A. D.Hall)于 1969 年提出的一种系统工程方法论,适用于解决大型复杂系统的规划、组织、管理问题,是目前为止影响最大、应用最广的系统工程方法之一[2]。本文主要运用霍尔三维结构方法中的逻辑维,进行大型建设工程施工总平面设计,分为七个步骤:一是明确问题;二是系统指标设计。选择具体的评价系统功能的指标;三是系统综合。形成一组可供选择的系统方案;四是系统分析。分析系统方案的性能、特点、对预定任务能实现的程度以及在评价目标体系上的优劣次序;五是优化评价。对各个方案进行优化,对优化后的方案进行评价;六是系统决策。在分析、评价和优化的基础上作出裁决并选定方案;七是系统实施。根据最后选定的方案,将系统付诸实施[3]。
(2)价值工程原理概述。价值工程(ValueEngineering)最早于 20 世纪 40 年代由美国通用电气公司工程师麦尔斯提出。价值工程的核心是以最低的寿命周期成本,可靠地实现必要功能,为提高产品或作业的价值而进行功能研究的有组织的创造性活动[4]。就建筑业而言,价值工程可表述为:对某个建筑产品或过程系统地进行功能分析以及方案创造、评价、实施,用最低的寿命周期费用可靠地实现建筑产品或过程的功能要求,从而提高研究对象价值的技术方法[5]。根据价值工程原理,系统或产品的优劣评价可用价值公式来表示,如下式所示:
V=F/C
式中,V 为系统或产品的价值,F 为系统或产品的功能,C 为实现系统或产品的寿命周期成本,C = C生产 +C使用。1.2 大型建设工程施工总平面系统设计方法分析(1)明确问题。假设大型工程施工总平面系统中包含 n 个要素,如果用 x1,x2,…,xn等 n 个变量分别表示该 n 个要素,则施工总平面系统方程可以用下式表示:

式中,y 为施工总平面系统;f(x1,x2,…,xn)为描述系统中要素之间相互关系的函数;Ω1,Ω2,…,Ωn为要素 x1,x2,…,xn的取值域,可以看作各个要素的强制性约束条件,包括要素功能必须满足的使用要求和强制性规定等。根据价值工程原理,大型建设工程施工总平面设计的问题转化为建立并求解施工总平面系统价值方程,并根据结果选择最优设计方案的问题,如下式所示:
V(y)=F(y)/C(y)
为便于分析,本文假设施工总平面系统的寿命周期为工程建设施工期,即 C(y) 代表施工总平面系统 y 在工程建设施工期间的所有施工与使用成本。厂区永久建构筑物施工与使用成本不在此成本范围之内。
(2)系统指标设计。
① 系统要素的评价指标。以系统要素 x1为例说明:一是需明确 x1 的强制性约束条件并判断其是否满足要求,如出现
即不满足约束条件的情况,则否决该总平面系统。二是在 x1 满足强制性约束条件的情况下,确定其功能系数。要素的功能系数 F(x1) 定量化计算较困难,为便于功能评价,可将要素功能评价分为 A、B、C、D、E 五个等级,每个等级对应一个评价分数,评价分数可根据实际情况研究确定,然后采用“专家评分法”[6]对要素功能进行评级和打分,最后进行加权平均,计算出要素的功能系数,评级打分表如表 1 所示。根据要素“功能评级打分表”和“专家评分法”,要素 x1的功能系数 F(x1) 可用下式计算:

式中,m 为专家人数,一般不少于 5 人;Si为第 i位专家给出的功能评价分数。三是根据规范或统计数据确定 x1 的成本控制标准,并由下式计算其成本系数 C(x1):
C (x1)=K1/K
式中,K 为 x1的成本控制标准系数;K1为预算成本系数,K1与 K 的计量单位相同。
表 1 要素功能评级打分表

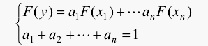
② 系统的评价指标。一是假设施工总平面系统的功能系数可以用各系统要素的功能系数加权平均计算,如下式所示:

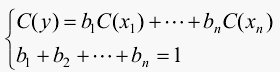
式中,a1 为系统要素 x1 的功能系数在整个系统中的权重,即系统要素功能在系统功能中发挥作用大小的度量,依此类推。各要素功能权重一般可根据其重要性,同时参考规范要求和实践经验进行赋值,n 为系统要素总数。二是再假设施工总平面系统的成本系数可以用各系统要素的成本系数分别乘以其权重后再相加求和进行计算,如下式所示:

式中,n 为系统要素总数;b1为系统要素 x1的成本系数在整个系统中的权重,即系统要素成本在系统成本中所占份额的大小,依此类推。各要素成本权重一般可用其预算成本除以系统预算成本进行计算,则系统要素 xi 的成本权重 bi 可由下式进行计算:

式中,Bi为系统要素 xi的预算成本。
③ 根据上述分析,施工总平面系统方案评价的价值系数 V(y) 可用下式计算:

④ 根据价值工程原理,判断一个施工总平面系统设计方案可接受的准则为:V(y)> 0.8,表示方案功能基本满足要求,可接受,反之不可接受。C(y) < 1.2,表示方案成本控制基本合理,可接受,反之不可接受。V(y) ≥ 1.0,表示方案价值系数大于等于 1,可接受,反之不可接受。判断多个施工总平面系统设计方案优劣的准则为:
V(y1) > V(y2) >…> V(yn)
则 y1 原则上为最优方案,依次排序,yn 为最劣方案。现场在选择方案时,可根据工程实际比选方案,在 V(y) 值比较接近(差距在±0.01 之内)的情况下,应选择成本相对较低的方案。
(3)系统综合与分析。大型建设工程施工总平面系统设计的成果可用施工总平面图及相应评价参数进行表示。根据理论知识与实践经验。大型建设工程施工总平面设计步骤如下:
建立图面基本元素→绘制基本地形及铁路、公路最小限距→绘制场地内原有、待建永久建构筑物位置→确定、绘制征、购、借地总体边界→确定施工阶段临时围墙位置→规划场内外连接段道路、桥梁位置,将场外交通引入场内→规划施工期永临结合道路→布置主要施工机械、设备→规划主要水平、垂直施工运输通道→规划施工场地、堆场、生产加工场地→规划生活、办公场地→规划施工期临时公共设施、测量控制点→规划整个场地的竖向布置→规划力能管线走向、标高→规划施工临时排污、雨水管沟→系统评价参数分析,若不满足要求,返回到第 4 步→形成一个可行方案。
2 大型建设工程施工总平面设计实例
(1)工程概况。凤台电厂一期工程拟建 2×600MW 国产超临界燃煤发电机组并配套建设烟气脱硫设施。工程总投资约 51.5 亿元,工程总用地面积(包括施工场地)约 88 公顷。
(2)凤台电厂一期工程施工总平面设计方案。根据工程实践经验总结及相关参考文献,明确凤台电厂一期工程施工总平面系统中包含的要素,如表2 所示。根据本文设计方法,对工程施工总平面进行了设计和优化,确定了 2 套较合理的设计方案。分别对方案Ⅰ和方案Ⅱ进行分析评价,寻找最优方案。
施工总平面设计,就是对工程施工中所有占据一定空间的要素进行的整体统筹规划和安排,是施工组织设计中各个主要环节经综合规划后反映在平面联系上的成果。其主要目的是,在施工过程中,对人员、材料、机械设施和各种为施工服务的设施所需的空间,做出最合理的分配和安排,并使它们相互间能够有效地组合和安全的运行,从而获得较高的生产率和经济效果[1]。根据工程施工总平面的特点,可以把其看作一个由有规则、相互作用、相互依赖的诸要素形成的系统,并应用系统工程理论和价值工程原理,结合实践经验,对大型建设工程施工总平面设计方法进行研究。
1 大型建设工程施工总平面设计方法
1.1 理论基础
(1)系统工程方法论中霍尔三维结构理论。霍尔三维结构是美国系统工程专家霍尔(A. D.Hall)于 1969 年提出的一种系统工程方法论,适用于解决大型复杂系统的规划、组织、管理问题,是目前为止影响最大、应用最广的系统工程方法之一[2]。本文主要运用霍尔三维结构方法中的逻辑维,进行大型建设工程施工总平面设计,分为七个步骤:一是明确问题;二是系统指标设计。选择具体的评价系统功能的指标;三是系统综合。形成一组可供选择的系统方案;四是系统分析。分析系统方案的性能、特点、对预定任务能实现的程度以及在评价目标体系上的优劣次序;五是优化评价。对各个方案进行优化,对优化后的方案进行评价;六是系统决策。在分析、评价和优化的基础上作出裁决并选定方案;七是系统实施。根据最后选定的方案,将系统付诸实施[3]。
(2)价值工程原理概述。价值工程(ValueEngineering)最早于 20 世纪 40 年代由美国通用电气公司工程师麦尔斯提出。价值工程的核心是以最低的寿命周期成本,可靠地实现必要功能,为提高产品或作业的价值而进行功能研究的有组织的创造性活动[4]。就建筑业而言,价值工程可表述为:对某个建筑产品或过程系统地进行功能分析以及方案创造、评价、实施,用最低的寿命周期费用可靠地实现建筑产品或过程的功能要求,从而提高研究对象价值的技术方法[5]。根据价值工程原理,系统或产品的优劣评价可用价值公式来表示,如下式所示:
V=F/C
式中,V 为系统或产品的价值,F 为系统或产品的功能,C 为实现系统或产品的寿命周期成本,C = C生产 +C使用。1.2 大型建设工程施工总平面系统设计方法分析(1)明确问题。假设大型工程施工总平面系统中包含 n 个要素,如果用 x1,x2,…,xn等 n 个变量分别表示该 n 个要素,则施工总平面系统方程可以用下式表示:

式中,y 为施工总平面系统;f(x1,x2,…,xn)为描述系统中要素之间相互关系的函数;Ω1,Ω2,…,Ωn为要素 x1,x2,…,xn的取值域,可以看作各个要素的强制性约束条件,包括要素功能必须满足的使用要求和强制性规定等。根据价值工程原理,大型建设工程施工总平面设计的问题转化为建立并求解施工总平面系统价值方程,并根据结果选择最优设计方案的问题,如下式所示:
V(y)=F(y)/C(y)
为便于分析,本文假设施工总平面系统的寿命周期为工程建设施工期,即 C(y) 代表施工总平面系统 y 在工程建设施工期间的所有施工与使用成本。厂区永久建构筑物施工与使用成本不在此成本范围之内。
(2)系统指标设计。
① 系统要素的评价指标。以系统要素 x1为例说明:一是需明确 x1 的强制性约束条件并判断其是否满足要求,如出现

式中,m 为专家人数,一般不少于 5 人;Si为第 i位专家给出的功能评价分数。三是根据规范或统计数据确定 x1 的成本控制标准,并由下式计算其成本系数 C(x1):
C (x1)=K1/K
式中,K 为 x1的成本控制标准系数;K1为预算成本系数,K1与 K 的计量单位相同。
表 1 要素功能评级打分表

② 系统的评价指标。一是假设施工总平面系统的功能系数可以用各系统要素的功能系数加权平均计算,如下式所示:

式中,a1 为系统要素 x1 的功能系数在整个系统中的权重,即系统要素功能在系统功能中发挥作用大小的度量,依此类推。各要素功能权重一般可根据其重要性,同时参考规范要求和实践经验进行赋值,n 为系统要素总数。二是再假设施工总平面系统的成本系数可以用各系统要素的成本系数分别乘以其权重后再相加求和进行计算,如下式所示:

式中,n 为系统要素总数;b1为系统要素 x1的成本系数在整个系统中的权重,即系统要素成本在系统成本中所占份额的大小,依此类推。各要素成本权重一般可用其预算成本除以系统预算成本进行计算,则系统要素 xi 的成本权重 bi 可由下式进行计算:

式中,Bi为系统要素 xi的预算成本。
③ 根据上述分析,施工总平面系统方案评价的价值系数 V(y) 可用下式计算:

④ 根据价值工程原理,判断一个施工总平面系统设计方案可接受的准则为:V(y)> 0.8,表示方案功能基本满足要求,可接受,反之不可接受。C(y) < 1.2,表示方案成本控制基本合理,可接受,反之不可接受。V(y) ≥ 1.0,表示方案价值系数大于等于 1,可接受,反之不可接受。判断多个施工总平面系统设计方案优劣的准则为:
V(y1) > V(y2) >…> V(yn)
则 y1 原则上为最优方案,依次排序,yn 为最劣方案。现场在选择方案时,可根据工程实际比选方案,在 V(y) 值比较接近(差距在±0.01 之内)的情况下,应选择成本相对较低的方案。
(3)系统综合与分析。大型建设工程施工总平面系统设计的成果可用施工总平面图及相应评价参数进行表示。根据理论知识与实践经验。大型建设工程施工总平面设计步骤如下:
建立图面基本元素→绘制基本地形及铁路、公路最小限距→绘制场地内原有、待建永久建构筑物位置→确定、绘制征、购、借地总体边界→确定施工阶段临时围墙位置→规划场内外连接段道路、桥梁位置,将场外交通引入场内→规划施工期永临结合道路→布置主要施工机械、设备→规划主要水平、垂直施工运输通道→规划施工场地、堆场、生产加工场地→规划生活、办公场地→规划施工期临时公共设施、测量控制点→规划整个场地的竖向布置→规划力能管线走向、标高→规划施工临时排污、雨水管沟→系统评价参数分析,若不满足要求,返回到第 4 步→形成一个可行方案。
2 大型建设工程施工总平面设计实例
(1)工程概况。凤台电厂一期工程拟建 2×600MW 国产超临界燃煤发电机组并配套建设烟气脱硫设施。工程总投资约 51.5 亿元,工程总用地面积(包括施工场地)约 88 公顷。
(2)凤台电厂一期工程施工总平面设计方案。根据工程实践经验总结及相关参考文献,明确凤台电厂一期工程施工总平面系统中包含的要素,如表2 所示。根据本文设计方法,对工程施工总平面进行了设计和优化,确定了 2 套较合理的设计方案。分别对方案Ⅰ和方案Ⅱ进行分析评价,寻找最优方案。
原文网址:http://www.pipcn.net/research/201001/14276.htm
也许您还喜欢阅读:
