传统地铁与直线电机地铁无缝线路设计比较
- 低碳节能建筑设计的相关问题及解决方法
- 江苏建筑职业技术学院图书馆设计文化理念
- 四川雅安名山县涌泉村抗震小学的设计理念
- 四川汶川5.12大地震的启示
- 汶川大地震震中纪念馆的创作思考
- 洛阳洛南新区雅安新城结构设计
- 绿色居住建筑的节地设计
- 广州珠江新城海心沙地下空间建筑设计方案
- 黔东南地区郎德苗寨民居的热适应性
- 西气东输工程中长输管道站场建筑模块化设计与应用
摘 要:通过对传统地铁和直线电机地铁线路轨道标准、轨道强度及稳定性检算比较分析,了解国内一种新的城市轨道交通模式,探讨这种轨道交通无缝线路计算的特点。(参考《建筑中文网》)
关键词:城市轨道交通;无缝线路;强度及稳定性
1 概述
城市轨道交通采用以旋转电机驱动为代表的传统地铁的历史源远,从1865年英国伦敦世界上第一条地铁(Metro)投入运营,迄今已经有140多年的历史。传统地铁主要依靠的是轮轨的作用力来传递牵引(制动)力的一种技术模式。城市轨道交通的另一种新的模式是直线电机驱动系统,此项技术从20世纪70年代后期,主要是国外(德国、日本等)开始研制,直到20世纪中才应用于铁路运输、煤矿、冶金等自动化生产各方面。其中直线电机在铁路运输方面的应用尤为引人关注。城市轨道交通用直线电机是采用直线同步电动机,实质就是把直线电机的初级(定子)安装在车上,次级(转子)铺设在线路上,需要接触轨和变流器牵引驱动的一种技术模式。
2003年广州市城市轨道交通地铁四号线在国内首次采用直线电机技术,2005年12月首通段已开始投入运营。之后的几年,广州市城市轨道交通五号线、六号线及北京市机场线均采用该项技术。笔者主要对两种运营模式下,对无缝线路的强度和稳定性做一个分析比较。
2 线路轨道主要技术标准比较
2.1 线路的最大坡度
传统地铁正线的最大坡度不宜大于30‰,困难地段可采用35‰。直线电机线路设计一般地段最大坡度为50‰,困难地段可采用55‰。直线电机理论计算的最大爬坡能力在100‰,但实际应用值到80‰。在无缝线路强度检算中,应注意轨道在制动的条件下,产生的制动附加力。
2.2 最小曲线半径
时速100km/h条件下,传统地铁B型车正线最小曲线半径500m,困难的条件下为400m;直线电机车辆设计线路最小曲线半径200m,困难条件下为15m。在不同曲线半径条件下,轨道结构的强度稳定性需进一步的检算。
2.3 车辆主要参数比较
传统地铁B型车辆及直线电机主要参数见表1。

其中,对于直线电机车辆应考虑其转子与定子间吸力,广州市四号线直线电机车辆采用日本技术,其吸力为20kN,纵向推进力最大可达到40kN,在轨道强度检算过程中均应考虑此部分的影响。
3 无缝线路钢轨强度检算
依据《铁路轨道强度检算法》(TB—2034—88)将钢轨视为支承在等弹性的连续点支座上的连续长梁进行检算。钢轨轨底动拉应力与轨道结构刚度D、速度V、偏载系数β、曲线水平力系数f等因素有关。
直线电机车辆在动态运行的过程,为有效的保证输出功率,轨道结构刚度的连续性尤为重要。直线电机强度检算钢轨支承刚度40~50kN/mm;传统地铁其刚度均小于30kN/mm。由于传统列车重心高度比直线电机车辆大,因此传统地铁列车通过时,由于存在未被平衡的超高,所产生的偏载比直线电机列车大约12%。
按弹性支承连续长梁方法,在曲线半径400m、时速100km等同条件下,传统地铁轨底的拉应力δgd=107·5MPa,动位移yd=1.4mm。直线电机轨底的拉应力Md=98.9MPa,动位移yd=1.1mm。
直线电机车辆轴重轻,车辆重心底,其紧急制动减速度较传统地铁大,但综合的制动附加力又比传统地铁小。在列车运行的条件下,直线电机钢轨只是导向牵引作用,强度检算计算应力小,有利于延长钢轨的使用寿命。
无缝线路稳定性检算其主要目的是通过力学模型研究胀轨跑道的轨道,以求保持轨道稳定。轨道胀轨跑道基本分成持续发展、胀轨渐变、胀轨跑道三个阶段。国内无缝线路稳定性分析研究理论很多,其中应用比较广泛有“统一无缝线路稳定性计算公式”和“波长不等模型”两种。
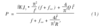
“统一无缝线路稳定性计算公式”采用等效道床阻力Q,最早较多的应用于50kg/m钢轨,后长沙铁道学院对60kg/m钢轨的原始弹性弯曲矢度foe、塑性矢度fop等参数进行优化研究,这些参数在秦沈跨区间无缝线路设计中得到应用。公式如下

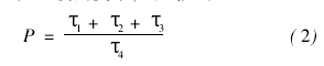
“波长不等模型”采用幂函数模式回归横向阻力方程(Q=Q0-ByZ Cyn)分析计算,运用势能的驻值理论,建立无缝线路的稳定计算公式,其允许温度力与钢轨压缩变形能τ1、轨道框架弯曲变形能τ2、道床变形能τ3、扣件的变形能τ4有关。该方法数学推导较为严密,但计算的过程比较的复杂,公式如下

应用VB程序对两种方法编程计算,程序结果与铁路工务技术手册《轨道》和《铁道工程》(西南交通大学)书中范例在同条件下结果一致。笔者主要是针对传统和直线电机的线路最小曲线半径标准,用两种不同的稳定性计算模型,采用1667根/kmⅢ型枕道床q=14.6-357.2y 784.7 y 0.75同条件下的横向阻力,计算曲线半径R=200m、R=500m钢轨的允许温度力P,计算结果见表2。

从两种稳定性计算公式可见,两种模式地铁在无缝线路稳定性计算方法上没有明显的差别。两种稳定性计算结果的差异原因可能在阻力的取值方式上,统一公式采用常阻力方式及安全系数K=1.25取值等因素。
由于直线电机可适应较小的曲线半径,为保证轨道平顺性,应尽量铺设无缝线路。由表2计算的允许温度压力可见,曲线半径越小允许的温度力越小,可允许温升也越小,因此直线电机轨道结构应尽量高温锁定。
5 结语
直线电机做为国内一种新的城市轨道交通模式,由于车辆的转子安装在轨道线路中,轨道结构参数选取与车辆结构的匹配尤为重要。通过对比分析传统和直线电机地铁系统线路轨道标准、无缝线路强度、稳定性检算几个方面,直线电机曲线半径条件应做为无缝线路的控制因素。直线电机地铁由于车辆轻、转向架固定轴距小的特点,可适当提高锁定轨温,有利于轨道稳定。对于直线电机这种新的城市轨道交通模式,无缝线路设计的强度及稳定性检算的参数选取还需在实践中逐步优化。
参考文献:
[1] 广钟岩.铁路无缝线路[M].北京:中国铁道出版社,2001.
[2] 铁道部工务局.轨道[K].北京:中国铁道出版社,2000.
[3] 郝 赢.铁道工程.北京:中国铁道出版社,2002.
[4] 胡基士.线路异步电机在城市轨道交通的应用[J].电力机车技术,2001(1)
原文网址:http://www.pipcn.net/research/200811/9145.htm
也许您还喜欢阅读:
