软土地区双圆盾构施工引起的地表沉降分析
- 改进的隧道监测系统(TMS)在隧道围岩变形监测中的应用
- 我国岩土工程在可持续发展中的新使命及其实现问题
- 矿山地质环境治理问题研究
- 岩土工程勘察中常见的技术问题及解决措施探讨
- RTK-GPS在广州新电视塔变形监测中的应用研究
- 既有建筑物加固修缮勘察与地基基础加固方案选择
- 现场测量建筑围护结构节能特性的问题分析
- 文物保护建筑勘察特点及工程实例分析
- 旁侧荷载对复合地基性状的影响
- 从工程实例分析谈顺层岩质边坡的勘察与参数选取
内容提示:与单圆盾构工法相比,双圆盾构工法有其独特的施工技术要求,其影响地表沉降的因素更为复杂。根据上海轨道交通六号线双圆盾构区间段地表沉降实测数据的统计分析,总结了地表沉降槽的形态特征,提出了沉降槽宽度范围的估算公式。结合双圆盾构区间段的工程实践,进一步探讨了与地表沉降相关的双圆盾构施工参数的取值问题。
摘 要:与单圆盾构工法相比,双圆盾构工法有其独特的施工技术要求,其影响地表沉降的因素更为复杂。根据上海轨道交通六号线双圆盾构区间段地表沉降实测数据的统计分析,总结了地表沉降槽的形态特征,提出了沉降槽宽度范围的估算公式。结合双圆盾构区间段的工程实践,进一步探讨了与地表沉降相关的双圆盾构施工参数的取值问题。(参考《建筑中文网》)
关键词:双圆盾构;沉降槽;施工参数
1 引言
近年来,双圆盾构施工技术开始引入我国,并已成功应用于上海轨道交通杨浦线和六号线的建设。与单圆盾构施工双线隧道相比,双圆盾构具有许多优势,它能够一次完成双线隧道,施工速度快,土方挖掘量少,隧道断面面积利用率高。双圆盾构正逐渐成为地铁隧道、道路隧道等地下工程施工的主流形式。
盾构施工引起的地表沉降是施工环境保护的一个重要问题,特别是在楼群密集区域建设的城市轨道交通,对地表沉降有严格的控制标准。对于单圆盾构工法的地表沉降机理、沉降槽形式和沉降预测等理论,国内外专家已做了较多的研究[1,2],但是对于双圆盾构工法引起的地表沉降尚缺乏足够的认识,探索双圆盾构工法的地表沉降规律有其必要性。本文针对上海轨道交通六号线双圆盾构区间隧道工程,通过对现场沉降监测结果的统计分析,得出双圆盾构工法的地表沉降规律,并探讨了软土地层中双圆盾构施工参数与地表沉降的关系,为后续工程积累经验。
2 工程概况
上海轨道交通六号线双圆隧道的单圆外径为6300mm,隧道衬砌每环宽1200mm,在两个单圆相交处采用海鸥块管片拼装。隧道覆土厚度为6.5~11.2m,掘进所在地层主要为砂质粉土夹粉质粘土、淤泥质粉质粘土和灰色淤泥质粘土,上覆土主要有杂填土和粉质粘土。
施工采用条幅式土压平衡双圆盾构机,如图1所示,单圆外径6520mm,两圆圆心距4600mm,切削面积58.37m2。在长度方向上,双圆盾构机由切口环、支承环和盾尾三个部分组成,总长7145mm,可进行转弯半径300m以上的曲线隧道推进。

在现场布置平行于盾构中心线的沉降监测点和垂直于盾构中心线的沉降监测点。平行于盾构中心线的沉降监测点一般情况下布设三条,分别位于双圆盾构上行线、中轴线和下行线的正上方,每隔5环(6m)设一个测点。另外,以30环(36m)为间隔在原来三个测点的基础上,垂直于盾构中心线方向左右各增设三个测点,到盾构中轴线的距离分别为4.3m、8.3m和15.3m。由于地表为具有结构刚度的钢筋混凝土路面,其变形不能反映土层的真实变位,因此,测点都设置在地表以下约0.5m处。监测测量按二等水准的要求进行。

3 监测数据分析
3.1 横向沉降槽分析
通过对横向监测断面的分析,提出对双圆盾构地面沉降曲线形态规律的几点认识:
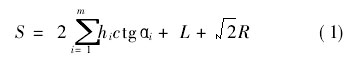
(1)地表沉降量较大的区域在中轴线两边15m左右,离轴线15.3m的测点沉降量最大可达10mm。假设沉降影响范围符合土体主动滑裂面所对应的区域,对地层均匀水平分布、覆土厚度在10m左右的直线隧道段进行总结,提出双圆盾构工法的地表沉降横向影响范围S的估算公式:

其中,αi为第i层土沉降影响面与水平面的夹角, 在粘土层中α=45° φ/2,在富水砂性土层中α=φ/3;φ为土层内摩擦角(φ1,2,3=30°,35°,11°);hi为第i层覆土厚度(h1,2,3=2,8,5.56m);R为盾构机单圆外半径(R=6.52m);L为圆心距(L=4.6m);S为横向沉降影响范围(S=54m),见图2。
计算值S比实测沉降范围(42~48m)稍大,但从环境保护的角度来说,该经验公式是较为安全的。
(2) 双圆盾构横向沉降槽的形态可归纳为两种:U形和V形。
U形沉降槽在盾构机宽度范围内的沉降量明显大于稍远处的沉降量,曲线在拐点处变化较快,槽底平坦;而V形沉降槽的曲线斜率变化平缓,类似于单圆盾构工法的沉降槽形状。两种典型形态见图3。U、V形沉降槽的反弯点较为一致,实测反弯点离中轴线7~8m,位于盾构开挖边界正上方附近。

分析认为,U形沉降槽是由于双圆盾构的挤土作用和海鸥块管片处的背土效应对上覆软弱土层扰动加剧引起的。文献[3]通过室内相似材料模拟试验和现场观测资料分析,发现在厚冲积层开挖条件下,沉降槽在拐点处具有较陡的曲线形态。本双圆盾构隧道的上覆土层为淤泥质粘土,抗拉强度小,挤土与背土产生的拉应力易导致开挖空间上方土层的弯曲和裂缝,使土层的冒落加大。开挖空间边界外地层的下沉主要受自重压应力和土层弯曲拉应力的泊松效应影响,受盾构施工的影响略为偏小,故其下沉值也略小,形成的曲线平缓。在上覆杂填土层较厚,及上海地区二号土(褐黄—灰黄粉质粘土)缺失的地质条件下,往往出现V形沉降槽。
(3)如图4所示,沉降槽中心与盾构中心不能较好地吻合,存在偏心现象,最大沉降量一般出现在中轴线和上行线之间。 
沉降槽偏心有两方面原因:一方面是盾构机带锯齿的刀盘表面与土层间粘附所造成的引拉作用;另一方面,局部地段土层的不均匀和背斜、向斜构造在一定程度上也造成沉降槽的不对称分布。
(4)共获得36个地表横向沉降全断面监测数据,实测负地层损失率范围为0~0.26%,地表隆起值一般小于5mm,均能满足10mm的隆起控制标准,地层损失率范围为0.46%~1.35%。地层损失率的计算方法是横向沉降槽与X轴所围面积和盾构切削面积的比值。
取上、下行线和中轴线上沉降较大者为最大沉降量,剔除掉盾构进出洞(存在加固区影响)和试推段断面,共对117个断面最大沉降量进行统计分析。取地表最大沉降量为随机变量X,假设X~N(μ,σ2),样本总数n=117。
经计算,总体均值μ=32.53,总体标准差σ=10.78,故Χ~Ν(32.53,10.78),沉降小于50mm的概率P{X≤50}=0.948。
根据统计资料,当前双圆盾构施工工艺条件下,若将上海软土地区地表沉降控制在50mm时有94.8%的保证率;若要提高地表沉降控制标准比如沉降30mm,还需要优化盾构施工参数,并借助二次注浆等辅助手段。

3.2 纵向沉降槽分析
上、下行线和中轴线的纵向沉降曲线基本一致。从图6可看到,距离盾构刀盘前方24m以外的土体未产生变形。在盾构刀盘前方H~24m范围里(H为上覆土厚度),地表出现隆起,随着盾构机的推进,地表沉降发展较快,沉降速率大。当盾构机头穿过测点,并离开测点约20~25m后,沉降速率逐渐减小,沉降发展缓慢。
4 优化施工参数控制地面沉降
影响双圆盾构隧道地表沉降的施工参数主要有土仓压力、推进速度、出土量、同步注浆压力、注浆量和注浆开始时间。另外,其他一些施工参数如盾构姿态和坡度、仿形刀超挖量、管片拼装质量等也对地面变形产生一定的影响。

4.1 土仓压力
土仓压力、推进速度与出土量是相关的施工参数,若较好地匹配三者的关系,能有效减少盾构的偏移和旋转[4],减小盾构推进对地表沉降的影响。双圆盾构机两侧螺旋输送机的转速和开口率是相互独立的,由隔仓板上的土压力计反馈迎面土压力值,通过调整左右螺旋机的出土量来控制土仓压力,维持开挖面土压平衡。土压上限为被动土压和水压之和,下限为主动土压和水压之和。
推进速度为10~50mm/min,正常的推进速度为30mm/min。推进过快,正面土体受压隆起大;推进过慢,易产生严重的叩头现象,造成盾构在高程上偏离设计轴线。
4.2 同步注浆
管片脱出盾尾后,在管片与土体之间将产生建筑空隙。若注浆不及时,土体很快就塌落到建筑空隙里去,沉降量可达12mm左右。因此,同步注浆是控制地表沉降的重要手段之一。
施工采用双液浆(A液:水泥 膨润土 稳定剂;B液:水玻璃)。浆液具有初凝快,混合后一小时的抗压强度可达到0.06~1MPa。
一般情况下,双液浆的注浆压力设定值为0.3MPa。在土质较硬时,注浆压力在0.3~0.5MPa;在土质较软时,注浆压力在0.2~0.3MPa左右。注浆压力不宜过高,否则会对地层产生较大的扰动,增加后期沉降,还会使管片螺栓发生塑流,甚至损坏管片。
注浆采用注浆量控制方式。注浆充填率一般在150%左右,注浆充填率为实际注浆量与建筑空隙体积的比值,本工程理论注浆量为4.02m3,实际注浆量约为6m3。
4.3 盾构姿态与管片拼装
双圆盾构不能发生左右偏转现象。理论上有多种纠偏方法,如利用千斤顶推力的分力、仿形刀超挖等,但为了减少对地表沉降的不利影响,施工中往往采用单侧压重和调节左右出土量来产生纠偏的扭矩。
管片采用错缝拼装工艺,使隧道结构纵向、横向的整体刚度有所提高,有助于减小纵向不均匀沉降。拼装顺序是先下后上,左、右同步进行,最后安装立柱,封闭成环。拼装力求保持两圆的真圆度,若椭圆度控制不利,会造成额外的地表沉陷。
原文网址:http://www.pipcn.net/research/200811/13714.htm
也许您还喜欢阅读:
