天津地铁1号线某深基坑支护体系稳定性分析
- 改进的隧道监测系统(TMS)在隧道围岩变形监测中的应用
- 我国岩土工程在可持续发展中的新使命及其实现问题
- 矿山地质环境治理问题研究
- 岩土工程勘察中常见的技术问题及解决措施探讨
- RTK-GPS在广州新电视塔变形监测中的应用研究
- 既有建筑物加固修缮勘察与地基基础加固方案选择
- 现场测量建筑围护结构节能特性的问题分析
- 文物保护建筑勘察特点及工程实例分析
- 旁侧荷载对复合地基性状的影响
- 从工程实例分析谈顺层岩质边坡的勘察与参数选取
内容提示:通过选取天津地铁1号线深基坑工程实例,建立支护体系线弹性计算模型和土体本构模型,利用有限元计算方法模拟分析基坑开挖过程中支护体系与周围土体的相互作用关系,分析总结基坑支护结构体刚度、入土深度及支撑轴力的大小对整个支护体系稳定性的影响程度。
摘 要 通过选取天津地铁1号线深基坑工程实例,建立支护体系线弹性计算模型和土体本构模型,利用有限元计算方法模拟分析基坑开挖过程中支护体系与周围土体的相互作用关系,分析总结基坑支护结构体刚度、入土深度及支撑轴力的大小对整个支护体系稳定性的影响程度。(参考《建筑中文网》)
关键词 支护体系 线弹性模型 入土深度 支撑轴力 结构刚度
天津地铁1号线深基坑支护体系多应用地连墙的支护形式,基坑开挖采用明挖顺作法施工,基坑内侧沿深度方向布置多道钢管支撑。地下连续墙支护体系一方面隔离基坑外土体和地下水,另一方面在开挖过程中维系着基坑的稳定和安全。研究表明[1~4],影响支护体系稳定性的关键因素有三个方面:支护结构体的入土深度、整体刚度及基坑内支撑轴力的大小。本文通过建立基坑支护体系的计算模型并对工程实例进行拟合计算,分析三者对整个支护体系稳定性的影响程度。
1 施工过程模拟
天津市地铁1号线工程某车站基坑主体为地下两层,结构全长约200m,标准段结构净宽18.2m,净高10.65m,车站顶板覆土层厚度约3m,车站两端设盾构调头井。车站主体标准段支护结构采用800mm厚地下连续墙,连续墙长度为27.5m,入土深度约11.3m;端头井采用800mm连续墙,连续墙长度为31.0m,入土深度为12.8m。横撑采用Φ600钢管,标准段采用四道支撑,端头井处采用五道支撑。明挖顺作法施工。采用弹塑性有限元软件PLAXIS对该基坑开挖的过程进行了模拟,其中土体单元的本构关系选用莫尔-库仑模型,将4道支撑简化为集中力,作用在地连墙上,地连墙的本构关系采用线弹性模型。各计算参数见表1、2所示。


有限元分析模型见图1所示,考虑到模型的对称性,只绘制了图形的右半边。图2是有限单元划分的示意图。

在较好的模拟实际工况的基础上,分三种情况计算了基坑破坏时地连墙的侧向位移,第一种情况是改变地连墙的入土深度即墙长;第二种情况是改变地连墙的刚度,直到坑壁土体发生滑动破坏;第三种情况是改变支撑轴力,直至基坑发生整体稳定破坏。

2 支护结构入土深度的影响
保持支撑轴力和地连墙刚度不变,改变地连墙的长度,分别计算墙长32m、30m、28m……直至16.1m(坑深)时地连墙的侧向位移,将计算结果得到的支护结构变形与地连墙的长度绘成关系曲线见图3所示。

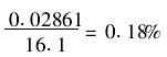
从图3可以看出墙长24m是一个转折点,当地连墙长度从32m变化到24m时,地连墙最大侧向位移量变化不大,但当地连墙长度继续减小时,位移显著增大,地连墙长24m对应的最大侧向位移是28.61mm,此时地连墙最大位移占基坑深度的百分比:
。但是即使地连墙长度减少到与基坑深度一样,由于有支撑的作用,基坑没有发生整体稳定破坏。可见在有足够支撑力的情况下,地连墙长度可以不作为控制基坑失稳的标准。
3 支撑轴力的影响
保持地连墙长度和刚度不变,减小支撑的轴力,当最大支撑轴力减小到102.5时,墙后土体中出现贯通的滑动面,发生滑动破坏。墙侧向位移随轴力的变化如图4所示。

从图4可以看出当支撑轴力减小到235kN.m时,地连墙侧向位移开始急剧增大,最大轴力为205时对应的地连墙侧向位移为150.7mm。此时土体应力水平的阴影图如图5所示。从图5可看出当支撑轴力不足时,土体向着坑内发生滑动,土体中形成贯通的塑性区,滑动面以内土体所受的剪应力达到了其抗剪强度,即此时相当大范围内的土体的抗剪强度都充分发挥了,因此这一范围内土体的剪应力水平为1。

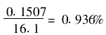
用图4中曲线转折点处地连墙的侧向位移与基坑深度的百分比为:
,可认为墙侧土体位移达到坑深的0.94%时,地连墙侧向位移会急剧增大,基坑有发生破坏的危险。
4 支护结构刚度的影响
保持地连墙长度和支撑轴力不变,逐渐减小地连墙的刚度,当刚度减小为850kN·m2·m时,墙后土体发生滑动破坏,将计算结果得到的墙体变形与刚度的关系绘成曲线见图6。

计算结果表明当地连墙刚度减小为3250kN·m2·m时,墙侧向位移开始急剧增加。位移—刚度曲线出现转折点,此时墙的侧向位移是99.1mm。应力水平阴影图如图7所示。

从图7可以看出当地连墙刚度比较低时,墙后和坑底相当一部分土体承受的剪应力达到了其抗剪强度,应力水平为1。
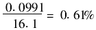
用图6中曲线转折点处地连墙的侧向位移与基坑深度的百分比:
。可认为墙侧土体位移达到坑深的0.61%时,地连墙侧向位移会急剧增大,基坑有发生破坏的危险。
5 结论
综合以上对影响基坑稳定性的三种因素:支护结构的入土深度、刚度以及支撑轴力的大小分析可知,从理论计算上看,该基坑支护形式中地连墙入土深度的减少对墙体结构的变形影响最大,但由于有足够支撑的作用,基坑不易发生整体稳定破坏。实际工程中支护结构刚度对基坑整体稳定性的影响最为重要,表现为其对侧向位移的敏感程度高,所以可将地连墙刚度减小引起的墙体侧向位移量作为本基坑整体稳定性的主要控制标准。
参考文献
[1]王照宇.软土地区深基坑开挖的环境效应及其工程对策[J].盐城工学院学报,2002,(6):16-20.
[2]郑必勇,李真民.深基坑工程环境质量问题浅析[J].江苏建筑,2002,(3):54-56.
[3]周健,吴世明,徐建平.环境与岩土工程[M].北京:中国建筑工业出版社,2001.
[4]龚晓南等,地基处理手册,中国建筑工业出版社[M],2000.
原文网址:http://www.pipcn.net/research/200810/8994.htm
也许您还喜欢阅读:
