地铁车站侧墙中裂缝机理分析和控制
- 东莞至惠州城际铁路隧道安全风险评估与管理
- 高层建筑给排水系统安装施工技术
- 高层建筑施工质量的五个控制要点
- 房屋建筑工程质量问题、原因和防止措施
- 地下停车场防水工程施工质量预控措施
- 试析绿色施工技术在建筑工程中的应用
- 施工企业预算管理措施及案例分析
- 岩溶地区隧道施工综合预报技术案例分析
- 预制块镶面现浇混凝土隧道洞门施工方法
- 建筑施工模板应用技术简析
摘 要:总结了地铁车站侧墙中裂缝发生的情况,并分析了裂缝发生的机理和影响裂缝开展的原因,提出了控制地铁车站侧墙中裂缝的方法。(参考《建筑中文网》)
关键词:地铁车站,裂缝,干缩变形,温缩变形,温度应力
引言
地铁车站是大型地下混凝土框架结构,为满足使用性与耐久性的要求,对车站结构的防水性应有较高要求。在工程中一般认为,裂缝是造成渗漏的主要原因,也就是说控制裂缝发展是防漏的关键。经过对地铁车站观测统计发现,地铁车站结构中侧墙的中下部以及施工缝处是产生裂缝的主要部位;侧墙中裂缝的走向大部分是竖直的,有少量的环向裂缝,以及极少横向裂缝。
在混凝土结构中,影响混凝土裂缝开展的因素很多,把其分为外荷载和变形荷载两大类。外荷载是指静荷载、动荷载和其他外界荷载,变形荷载是指温度收缩、干缩变形和不均匀沉降等;其中变形荷载是引起裂缝的主要原因。地铁车站的侧墙是混凝土薄壁结构,裂缝产生的主要原因是干缩变形和温度收缩变形。
混凝土的干缩变形主要是指由于混凝土因水分散失而引起的体积缩小。温度收缩变形主要是由于在混凝土硬化过程中,混凝土中的水泥释放出大量的水化热,同时又在热量的不断散失过程中,结构内部产生的温度变化引起的胀缩变形。侧墙中的裂缝根据其发生的情况不同可分为两类:表面裂缝和贯穿裂缝。下面就这两类裂缝的产生机理和原因进行了分析[1]。
1 表面裂缝
1.1 表面裂缝机理及原因分析
在混凝土薄壁结构中表面裂缝产生的主要原因是干缩变形和结构内部温度非线性分布,导致结构本身的相互约束产生的应力引起的,即内约束作用。
1)干缩变形
对混凝土薄壁结构来说,由于混凝土结构的体表面积较小,所以与空气接触的外表面水分散失较快,由其引起的干缩变形也大。而该结构中水分散失由表及里逐渐减小,成非线性发展。这种非线性发展,使内外变形不一致,因而表面的干缩变形受到内部干缩变形的约束。
2)温度收缩变形
混凝土浇筑后,胶凝材料在水化凝结过程中要散发大量的水化热,内部温度急剧上升。一般浇筑后1d就能达到温峰。而后随着混凝土的凝结,水化热不断散失,温度逐渐降低到与环境温度相当。当浇筑温度控制在30℃时,在混凝土薄壁结构中,由于水化热作用结构中温度可上升到50℃~60℃。而结构的外表面散热快,因而薄壁结构中的温度梯度相当大。因为升温阶段短暂,而且此时混凝土的弹性模量很小,徐变较大,升温引起的压应力并不大,不会引起裂缝的产生,所以不加考虑。当温度逐渐降低时,随着混凝土的硬化,弹性模量逐渐变大,徐变减小。混凝土结构冷却时,表面温度较低,内部温度较高,表面的温度收缩变形受到内部的约束,从而表面出现拉应力,在内部出现压应力[2]。
1.2 应力分析
在干缩和温缩的共同作用下,混凝土薄壁结构的外表面受到拉应力的作用,而内部则出现压应力,为此在应力分析时采用以下假设。
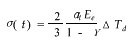
假设干缩的应力换算成温度应力。对于内约束温度应力可设想为在混凝土内深处有个“约束面”约束着表层混凝土的收缩变形。“约束面”的约束度(R)为1.0,l很大,h很小,l/h比值更大,以至于表面的R可趋近于1.0。混凝土表面温度下降,“约束面”温度不变(仍为T),于是产生表里温差(ΔT△=T-Tο)。对于混凝土约束温度应力σ(t),大多文献列出如下算式:
σ(t)=KΔT△dα1Ee (1)
其中,K是考虑截面内温度分布不均匀并假设为抛物线形分布的系数,并常取K=2/3(2/3是抛物线下平均高度相对于顶点高度的比值)。对于地铁车站结构的侧墙的应力、应变,按平面二维问题考虑并引入泊松比(γ),则可用如下基本式代替(1)式:
(2)
2 贯穿裂缝
2.1 贯穿裂缝机理及原因分析
混凝土薄壁结构除了受到由于干缩和温度变形引起的内约束作用外,还受到外约束作用。在地铁车站侧墙结构中,侧墙主要受到底板的变形约束。这种约束还是由于干缩和温度变形引起的。
在混凝土薄壁结构中。随着混凝土的硬化,水泥水化热反应率的越来越小,薄壁结构的整体温度不断降低,体积不断收缩。而侧墙与底板之间,新混凝土墙浇筑在老混凝土板上,产生粘结力。由于新、老混凝土的弹性模量、收缩程度不同,所以侧墙的收缩受到底板的约束。特别是在已发生表面裂缝的地方,由于表面裂缝的存在使水分蒸发深入到内部,即使干缩作用深入到薄壁结构内部。另外薄壁结构内部温度上升得很大,所以冷却过程中收缩也会很大。同时随着混凝土龄期的不断增加,弹性模量不断增加,徐变越来越小。事实上,混凝土的弹性模量在浇筑后7d就基本达到与最终值相当的大小。所以由于上述原因,混凝土侧墙在底板约束下会产生相当大的拉应力。而混凝土是脆性材料,抗拉强度只是抗压强度的1/10左右,所以当拉应力大于混凝土的抗拉强度时就会出现贯穿性裂缝。在侧墙的上部基本处于无外约束的自由变形状态中。因此地铁车站侧墙中的裂缝一般是竖向,且出现在侧墙的中下部。
2.2 应力分析
地铁车站结构中侧墙混凝土厚度较大,一般为60cm~80cm。在没有特殊降温措施时,混凝土内部最大温度高达50℃~60℃,前后温差最高可达40℃。由于浇筑时间的先后及侧墙的温差收缩时主要受到底板混凝土的约束。如把底板混凝土视为老混凝土,而侧墙为新混凝土,则新、老混凝土结构之间存在着较大的收缩差,因此当侧墙收缩时,底板会对其产生巨大的收缩约束[3]。
在收缩过程中,老混凝土龄期较长,收缩变形已趋稳定,从而约束了新浇筑混凝土的自由收缩,在新混凝土内出现拉应力,新、老混凝土粘结面内出现剪应力。当拉应力或剪应力大于新混凝土自身的抗拉强度或新、老混凝土的粘结强度时,就会不可避免地出现贯穿裂缝。
3.1 水化热
水泥水化放出的热量聚集在结构的内部不能及时散失而引起温升,由其引起的不均匀膨胀与收缩在受到约束时,就会导致混凝土开裂。水泥的水化热与混凝土单位体积中水泥用量、水泥品种有关,并随混凝土的龄期按指数关系增长。特别是在防止贯穿裂缝发展时,有效地降低水泥水化热是控制内部温差的主要手段之一。
一般可通过采取如下措施来降低混凝土中水泥的水化热:
1)选用低热水泥,如矿渣硅酸盐水泥、粉煤灰硅酸盐水泥。若只能采用普通硅酸盐水泥,最好不用早强水泥。
2)在允许范围内尽量减小混凝土的水灰比。
3)掺加适量减水剂,可减少用水量,这样在确保混凝土设计标号的条件下(即水灰比不变),水泥用量也相应减少了。
4)必要时在混凝土内部埋置冷却水管,进行通水冷却,可降低内部温度6℃~10℃。
3.2 浇筑温度和外界气温
GB50204 92混凝土结构工程措施及验收规范的有关规定主要有两条:1)浇筑温度不宜超过28℃;2)大体积混凝土表面和内部温差控制在设计要求的范围内。
目前建筑工程中的内外温差允许值的研究成果不多,加之混凝土表面裂缝的原因也很复杂,因此规范规定了一个“允许稍有选择”的标准,即不宜超过25℃。大量的工程实践也表明,当混凝土内外温差不超过25℃时,一般来说,混凝土体内的温度应力不会导致混凝土产生裂缝[5]。1)控制混凝土的浇筑温度。
浇筑温度Tj是由混凝土的机口温度再加上运输浇筑过程中的温度回升(或降低)而定的。拌和前每m3混凝土中原材料的总热量∑CiWiTi(ci为比热,Ti为温度,Wi为质量),再加上拌和时产生的机械热量(约1500kJ),即可得到机口混凝土的总热量,再除以∑CiWi,就可得出机温度。拌和时可以再用加入冰屑的方法,降低机口温度;同时注意避免骨料被太阳晒。混凝土出拌合机后,经运输、平仓,振捣中的温度增减后,即为浇筑温度Tj温度增减的具体数值与路途运输、平仓的时间及浇筑的气温等有关;所以还应在混凝土输送过程中进行适当的遮盖等措施,以尽量降低混凝土的浇筑温度Tj[6]。
2)尽可能地在常温下施工,夏季施工,裂缝出现的情况比冬季多。
3)采取一定的保温、保湿养护措施。
地铁车站侧墙的模板往往在浇筑混凝土的第2d~3d内便拆除了,这正好是水泥水化热的高峰期;而侧墙较薄,表面层的温度梯度往往很大,混凝土内部温度梯度的急剧增加就引起墙体开裂,同时养护措施也可防止因与外界气温温差较大引起的热交换而产生的表面裂缝。故采取一定的养护措施是必要的。
3.3 混凝土的收缩变形影响
混凝土干缩主要发生在水泥与水体之间。水泥的矿物成分一般不会影响混凝土的干缩。只有当石膏含量不足时,有的水泥才有较高的收缩。因而混凝土收缩的大小与水灰比有关,水灰比越大,其收缩也越大。另外,由于骨料对收缩有很大的抑制作用,这种抑制作用与骨料的弹性模量有关,弹性模量越低,混凝土收缩也越大,特别是多孔轻质骨料混凝土收缩就更大。不良的骨料会导致水的用量加大,这样混凝土的收缩就会加大。
原文网址:http://www.pipcn.net/research/200810/13573.htm
也许您还喜欢阅读:
