地铁隧道盾构施工地表沉降的预测分析
- 东莞至惠州城际铁路隧道安全风险评估与管理
- 高层建筑给排水系统安装施工技术
- 高层建筑施工质量的五个控制要点
- 房屋建筑工程质量问题、原因和防止措施
- 地下停车场防水工程施工质量预控措施
- 试析绿色施工技术在建筑工程中的应用
- 施工企业预算管理措施及案例分析
- 岩溶地区隧道施工综合预报技术案例分析
- 预制块镶面现浇混凝土隧道洞门施工方法
- 建筑施工模板应用技术简析
内容提示: 总结并分析了地铁区间隧道采用盾构法施工中引起地表沉降的规律、过程及原因,同时介绍了以经验法为主且目前广泛应用于变形分析的peck沉陷槽预测公式,并结合我国某城市地铁隧道的修建过程中产生的地表沉降现象,验证了该分析方法的实用性和可借鉴性。
摘 要 总结并分析了地铁区间隧道采用盾构法施工中引起地表沉降的规律、过程及原因,同时介绍了以经验法为主且目前广泛应用于变形分析的peck沉陷槽预测公式,并结合我国某城市地铁隧道的修建过程中产生的地表沉降现象,验证了该分析方法的实用性和可借鉴性。(参考《建筑中文网》)
关键词 地表沉降 peck沉陷槽 预测分析 盾构法 地铁隧道
1 前言
近些年来,盾构施工法普遍用于在松软含水土层中修建隧道,在江河海中修建水底隧道,在城市中修建地下铁道及各种市政设施。但是,当采用盾构法施工时,一般会引起隧道上方地表沉降,这种现象在含水的松软土层或其他不稳定地层中表现显著。尤其对于城市地铁,盾构法区间隧道一般都会穿越城市中心地带,因建筑物密集、施工场地狭小、地质情况复杂、地下管网密布、交通繁忙、施工条件受到限制等,而对环境的控制要求更为严格。因此,预测可能发生的地表变形,对工程的顺利实施极为重要。
本文通过调研国内外盾构施工地表沉降控制技术,同时参考同行业盾构法施工实例,分析了地表沉降的预测方法及盾构施工过程中地表沉降的规律、过程和沉降原因。
2 地表沉降的规律
在软土层中采用盾构施工时,隧道横向所产生的地表变形范围受隧道的埋深和其所处的地质土层状况影响较大,基本上接近土的破坏棱体范围,大致上近似于peck[1]提出的沉陷槽形状,即概率论中的正态分布曲线。同时隧道纵向所产生的地表变形可分为五个阶段[2],即初始沉降、开挖面前的变形、盾尾沉降、盾尾空隙沉降、后续固结沉降,见图1。

(1)初始沉降。距开挖面还有几十米(通常为大于2.5D,D为隧道直径)的地面观测点,从开挖面到达该点之前所产生的沉降,是随盾构机掘进造成的地下水流动和水位降低产生的。
(2)开挖面前的变形。自开挖面约几米(0~2.5D)时起直至开挖面到达观测点正下方之间所产生的沉降或隆起现象,多由于土体的应力释放或盾构开挖面的反向土压力、盾构机周围的摩擦力等的作用而产生的地基塑性变形。
(3)盾尾沉降。从开挖面到达观测点的正下方之后直到盾尾通过该观测点为止这一期间所产生的沉降,主要是盾构扰动土体所致。
(4)盾尾空隙沉降。盾构机的尾部通过观测点的正下方之后所产生的沉降,是盾尾空隙的土体应力释放所引起的弹塑性变形。
(5)后续固结沉降。由于施工过程中对周围土体的扰动,土中孔隙水压力上升,随着孔隙压力的消散,地层会发生主固结沉降;在孔隙水压力趋于稳定后,土体骨架仍会蠕变,即次固结沉降。
上述沉降阶段多非同时产生,且其表现形式也是综合性的。地基条件和施工状况不同,沉降的类型也会有所不同。
3 地表沉降的原因
盾构施工时,地表沉降与施工条件和地质特性密切相关,且原因很多[3],[4],归纳起来主要有以下几方面。根据国内外部份经验,将沉降原因、机理分类整理如表1。

(1)降水的影响。盾构隧道施工中常采用降水措施,在正常掘进过程中也会经常性地堵水、排水,降水会使地层中原来的静水水位改变成漏斗状曲面水位,使含水地层中土的有效应力增加,产生固结沉降。
(2)地层原始应力状态的变化。在原来处于稳定状态的地层中开挖隧道,对周围的土体必有扰动影响。盾构掘进时,开挖面土体的松动、挤压和坍塌,导致地层原始应力状态的改变。土体极限平衡状态的破坏,引起了地表的下沉或隆起。
(3)盾构挤压扰动的影响。开挖、掘进时都不同程度地对土层产生挤压扰动。当盾构掘进遇到弯道以及进行水平或垂直纠偏时,也会使周围的土体受到挤压扰动,从而引起地表变形,其变形大小与地层的土质及隧道的埋深有关。
(4)管片环变形的影响。隧道衬砌脱出盾尾之后,在土压力的作用下,管片之间的防水层和缝隙会被挤压紧密,管片环也会产生轻微变形,趋向于椭圆状,这些也会导致地表的少量沉降。
(5)盾尾空隙充填不足的影响。盾尾建筑空隙必须及时进行充填,在不稳定地层中施工时,这一点更显得重要。压浆材料的性能及充填量均影响到地表沉降及其速度。盾构施工中的纠偏或弯道施工时的局部超挖,会造成盾尾后部建筑空隙的不规则扩大,其扩大数量难以进行估计,空隙如果无法得到及时充填,会导致地表沉降。
4 地表沉降预测公式
在盾构法隧道施工推广应用的过程中,国外专家们根据工程实例进行了大量研究,逐渐建立了以peck沉陷槽为基础的预测理论,如Attewell等方法对所选用的工程实用性较强,同时受地质条件变化的影响很大,因此公式中系数的正确取值将直接影响到这些公式的适用性。
peck[1]通过对隧道地表面沉降槽形状的观察以及对大量的实测数据分析,于1969年在墨西哥土力学及地基基础工程国际会议上首次提出了二维沉陷槽断面形状,如图2所示。并认为沉降槽的体积应等于地层的损失量。
(1)地表沉降横向分布的估算公式为(1)式。

因此,地面沉陷的横向分布公式可改写为(3)式。

(3)隧道地表沉陷槽宽度B则按下式计算
B=2×2·5i (4)
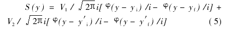
4.2 地表纵向沉降预测
刘建航等[5]在peck法的基础上,总结了上海地铁隧道纵向沉降分布的一般规律,提出了负地层损失的公式,得出了地面沉降量的纵向分布估算公式如(5)式。

式中 S(y)为纵向地表沉降量;y为沉降点至坐标轴原点的距离;yi为盾构推进起始点处盾构开挖面至坐标轴原点的距离;yf为盾构开挖面至坐标轴原点的距离;y′i=yi-l,y′f=yf-l,l为盾构机的长度;V1为盾构开挖面引起的地层损失(欠挖时为负值);V2为开挖面以后因盾尾空隙压浆不足及盾构改变推进方向为主的所有其它施工因素引起的地层损失。φ(x)函数可由标准正态分布函数表查得。
根据日本国内1965年以来所发表的文献,整理了因盾构施工造成沉陷槽的事例74例,惊人的是和peck的沉陷槽形状完全一致。在我国,依据北京、上海等地区的工程实例进行了大量分析,并由实际测量监测结果所绘制的沉陷槽与peck沉陷槽假定的正态分布曲线形态相符,且完全可以满足施工的精度要求。
5 工程实例分析
某城市地铁隧道,开挖断面直径6.00m,隧道埋深16.92m,通过地层为第四纪粘质粉土、粉质粘土透镜体含中粗砂。地层中贮存潜水,埋深约为14.00m,主要接受上层滞水和河水的垂直渗流和区域侧向径流补给。采用盾构法抬头掘进,地表A处在隧道走向的垂直方向上布置6个监测点,点间距为7m。这样即得到A处地表沉降量,见图3。

由沉降曲线可以看出,当盾构机在距离监测断面15m左右时,地表呈隆起趋势,隆起最大位移量为2mm。当盾构机掘进至监测断面所在位置时,地表下沉明显,预测下沉量为6.8mm,实测最大值为5.3mm,最大沉陷槽宽度45m。随着盾构机远离监测断面,变化趋于稳定,较好地符合了地表沉降的一般规律,预测回归曲线与实际沉降曲线趋向大致相同,该地段的地表沉降量不大,沉降从开始到结束较短,最大沉降量基本满足工程要求。
6 结语
通过上述对地铁盾构隧道施工引起地表沉降的规律、原因以及工程实例的分析,可以看出结合实测数据进行回归分析的peck沉陷槽公式仍是一种较为实用的预测方法,对我国地铁隧道的盾构施工具有一定的指导意义。
参考文献:
[1]Peck.RB.Tunnelinginsoils[A].In:10THICSMFE[C]:Stockholm.1981:607-628.
[2]尹旅超,朱振宏等.日本隧道盾构新技术[M].武汉:华中理工大学出版社,1999.
[3]于书翰,杜谟远.隧道施工[M].北京:人民交通出版社,1999.
[4]赵长龙,赫荣久.盾构施工的地表变形与控制[J].黑龙江交通科技,2003,(9):36-37.
[5]刘建航,侯学渊.盾构法隧道[M].北京:中国铁道出版社,1991.329-639.
原文网址:http://www.pipcn.net/research/200808/8916.htm
也许您还喜欢阅读:
