基于博弈论的组建建筑企业集团动因研究
- 东莞至惠州城际铁路隧道安全风险评估与管理
- 高层建筑给排水系统安装施工技术
- 高层建筑施工质量的五个控制要点
- 房屋建筑工程质量问题、原因和防止措施
- 地下停车场防水工程施工质量预控措施
- 试析绿色施工技术在建筑工程中的应用
- 施工企业预算管理措施及案例分析
- 岩溶地区隧道施工综合预报技术案例分析
- 预制块镶面现浇混凝土隧道洞门施工方法
- 建筑施工模板应用技术简析
内容提示:由于我国建筑市场体系发育不成熟、国有建筑业企业改革不到位,随着国有建筑业企业产权制度改革的深人,我国建筑业急需培养具有国际竞争力的大型建筑企业集团,、我国建筑产业管理体制有明显的地方或区域特征,但建筑企业间互相竞争的新格局要求我们不仅仅简单的下放国有重点
一、引言
由于我国建筑市场体系发育不成熟、国有建筑业企业改革不到位,随着国有建筑业企业产权制度改革的深人,我国建筑业急需培养具有国际竞争力的大型建筑企业集团,、我国建筑产业管理体制有明显的地方或区域特征,但建筑企业间互相竞争的新格局要求我们不仅仅简单的下放国有重点建筑企业,更重要的是在符合产业组织发展方向下,调整与完善建筑产业的市场结构、企业规模与组织结构,使当前建筑产业内所表现的产业分散、近似完全竞争型市场结构向更适合于建筑产业特点的适度集中、宽松寡占型市场结构过渡,以此克服目前建筑产业内严重的过度竞争,建筑企业供过于求,行业性亏损,建筑技术创新动力不足等矛盾。本文认为实现这一目标的主要途径就是通过建筑企业间的兼并、联合等形式培育规模更大、结构更合理的建筑企业集团.
对组建建筑企业集团动因研究.一般用集团经济形成的理论进行经济学解释,如规模经济理论、交易费用理论和范围经济理论,缺乏定量分析,同时,建筑企业由于其企业自身的特点,其市场运行模式同一般企业有较大的区别对此,本文应用产业组织理论、博弈论和信息经济学的相关原理和方法,对组建建筑企业集团的动因进行定性和定量分析,为我国建筑产业的结构调整、建筑企业经营规模扩大及其竞争合作行为的完善提供理论依据.
二、组建建筑企业集团的合理性分析
借鉴资本主义发展史上出现过生产集中和垄断形成的横向兼并、纵向兼并和混合兼并的规律,而且当前欧美国家仍利用兼并或合并,以股权、债权关系为纽带,打造实力雄厚的大企业集团的现实,本文认为,建筑企业集团应充分利用融资、控股、参股等资本运营手段,在量和质较高层次上的联合建筑企业而形成大型建筑企业集团,其先进性和有效性表现为:
1、有利于建筑企业组织结构完善
从我国一般建筑企业集团内大、中、.小建筑企业之间的组织关系看,处于核心层的主体大建筑企业不仅与众多中小建筑企业有业务的联系,而且还有融资、参股、兼并等关系,从而形成不同层次的众多中小建筑企业对主体大型建筑企业的较强、较稳定的依附性,进而形成以大型建筑企业为核心,协同集团内中小建筑企业(国有地方建筑、乡镇建筑企业)的有效建筑组织体系、这种建筑组织结构比较合理,市场运行相对规范有序,使大型建筑企业可以有效地利用建筑企业集团的核心的竞争优势来提高自身的综合竞争力
2、有利于实现规模经济
建筑企业集团内是以大型建筑企业为主体的建筑企业系列.大型建筑企业能有效利用核心建筑企业的资本存量组织专业化协作生产,较快地扩大生产经营规模,实现规模效益:建筑企业集团在形成发展过程中,常常伴随着经营范围相同或相似的建筑企业间横向兼并、联合或改组,形成建筑资产·体化专业性公司,从而提高建筑专业化的生产规模,克服“大而全”、“小而全”的建筑生产方式,较好地将社会化大生产的专业化协作与规模经济融为一体,以此获得规模经济效益
3、有利于增强建筑产业内部竞争的有序性
建筑企业集团组织结构的层次性带给了建筑企业分层竞争结构,即以大型建筑企业为核心,与众多中小建筑企业(地方、乡镇建筑企业)专业化协作的分层竞争的结构。一方面,建筑企业集团之间形成高层次的竞争,而大型建筑企业与众多中小建筑企业的分层协作,既能一致对外,形成了“生死与共”的强大的建筑业企业集团竞争合力,而处于核心的大型建筑企业又能把自身的竞争压力有序地依次传递给各层次的中小企业.在建筑企业集团内形成互相竞争的压力和动力另一方面,建筑企业集团组织结构体现了大型建筑企业利用中小建筑企业的协同思路,如处于核心层的大型建筑企业有条件和能力组建科研机构、设计公司、咨询服务公司等科技含量高的研发部门,而中小建筑企业则可以依靠建筑集团的技术和资本优势,采取专业化施工等经营方式,最大限度发挥质量成本优势,形成核心竞争能力。这种垂直分工与协作界定了大型建筑企业与中小建筑企业的生产经营领域和竞争空间,避免了建筑产业过度竞争,同时,也有利于减少我国建筑企业数日,提高产业集中度、改善建筑产业市场结构,进而形成我国建筑产业组织的有效竞争态势。大型建筑业企业集团,既立足于国内建筑市场需求,面向“大业主、大工程、大项目”等高端建筑市场,又有余力开拓国际市场,充分发挥比较优势,率领我国建筑业企业实现“走出去”的战略目标,增强我国建筑业的国际竞争力
三、组建建筑企业集团的博弃分析
1、合并前建筑企业非合作博弈
工程项目一般分为大型重化工业工程项目、大型土木工程项月、大型公共建筑工程项目和一般性工程项目(包括住宅工程项目)四种类型。由于一般性工程项目量大面广,我国相当部分的建筑企业也均把住宅工程等一般性工程项目作为自己生存和发展的依靠,这就要求一般建筑企业具备明显的质量成本竞争优势,建筑市场近似完全竞争型市场结构,从而出现产业分散和过度竞争等矛盾。结合目前建筑市场的实际情况,本文以我国一般性工程项目的建筑市场结构为研究对象,进而探索适合于整个建筑市场的有关规律。(参考《建筑中文网》)
根据一般性工程项目的建筑产品基本同质的特点,本文认为在建筑市场上有n家建筑企业生产同质产品,每个建筑企业可以通过产量、价格等竞争策略来争夺建筑市场的份额。我们假定:
(1)每个建筑企业同时制定自己的竞争策略。尽管有时非同时决策,但后决策者在决策时对先决策者的决策一无所知;
(2)为了便于比较分析,暂不考虑每个建筑企业的固定成本,假定每个建筑企业的边际成本相等,则建筑企业的成本为C(qi)=cqi,i=1,2,...,n;
(3)我们假设单位建筑面积价格(P)为市场需量(Q)间存在逆线性函数关系,即P=а-bQ.建筑企业提供的单位建筑面积价格(P)越高,则对其的市场需求越少;
(4)每个建筑企业以自身利润最大化为原则,第i 家建筑企业的收益函数为:

式中qi.为第i个建筑企业的产量,为决策变量;
_qi为第i个建筑企业的最大生产能力。
则根据古诺均衡可得:

2、合并情况下建筑企业间的非合作博弈
当建筑企业间发生合并时,则n家建筑企业中有m家建筑企业合并成为一个大型的建筑企业集团。暂时不考虑建筑企业集团内部因合并所带来的产品结构、成本、规模报酬的变化.即假定参与合并的建筑企业的产品结构、成本不发生变化。这时,建筑企业集团就与剩余的n-m个建筑企业展开非合作竞争。建筑企业集团的产量为q',q'>0。而其余的n-m个建筑企业则根据建筑企业集团的产量来分别选择自己的产量qni,qni≥0(i=m+1,m+2,...,n)。
根据古诺均衡、斯坦克尔伯格模型,建筑企业集团将其它未参与合并的跟随建筑企业的古诺最佳反应函数作为限制,则有:

其中,i=m+l,m+2,---, n
3、两种博弈均衡解的分析
对合并与非合并两种情况下的求解结果进行比较分析,得出以下结论:
(1)由于m个建筑企业参与了合并,当m≥(n+1)/2时,建筑企业集团的产量小于未合并前各建筑企业总产量,即:

(2)由于建筑企业间的合并,整个建筑企业的总产量已发生了变化:

则Q1≥Q2,即实施建筑企业间合并后整个建筑行业的总产量低于未合并前、因此可以得出,实施建筑企业间合并有益于控制建筑企业总量,克服当前建筑产业内建筑企业数量供过于求的失衡状态.
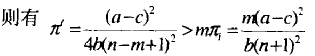
(3)因

参与合并的m家建筑企业的利润比合并前得到提高,说明参与合并的建筑企业有利润可图,这也是建筑企业参与合并的动因所在.
(4)根据单位建筑面积价格线性函数式P=a-bQ,qni.和q',可以推出建筑企业发生合并后的市场单位建筑面积价格:

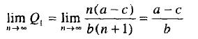
说明经过组建建筑企业集团,随着建筑企业数目的减少和建筑总产量的下降,建筑市场的单位建筑面积价格会提高。相反,当建筑企业数目无限增多,n→∞时,市场出现完全竞争状态,则有:

产量

说明建筑业产量趋于最大,建筑业单位建筑面积价格趋于平均成本,建筑企业处于无利状态。
四、结论
通过以上对组建建筑企业集团的综合分析,可以得出以下结论:
(1)组建建筑企业集团是我国建筑产业发展的方向,它有利于克服建筑企业规模小,结构不合理,建筑产业分散和建筑企业间过度竞争等矛盾,优化建筑产业结构,建立适合建筑业发展特点的宽松寡占型市场结构,形成建筑产业内有效竞争。
原文网址:http://www.pipcn.net/research/200611/917.htm
也许您还喜欢阅读:
