基于时间序列与人工神经网络的房地产周期识别
- 加强房地产企业的财务管理
- 呼和浩特市房地产行业现状、主要问题和发展趋势
- 征地拆迁中的各方利益博弈和法律秩序的重建
- 浅议农村房屋拆迁补偿制度
- 妥善解决征地拆迁范围内房地产权问题
- 桂西北中心城区建设征地拆迁工作总结
- 城市建设征地拆迁中的职务犯罪分析
- 秦直道遗址的开发与保护研究
- 河南国网宝泉抽水蓄能电站投资计划管理实践
- 使用加气混凝土砌块做为保温墙体的节能分析
内容提示:房地产市场的发展存在明显的周期特性,对房地产周期进行识别有助于政府及其他市场参与者进行科学决策。利用时间序列分析对1992—2003年的北京房地产市场周期发展阶段进行判别研究,并将该判别结果作为训练样本,利用局部改进的标准BP人工神经网络构建了房地产周期识别模型。识别
房地产发展周期识别是指对房地产市场所处的周期阶段进行判断。目前国内识别房地产周期的方法主要有两类。一类是利用线性模型对房地产市场所处的阶段进行研究,此类研究简化了各个指标间关系,误差相对较大,且对指标和数据有较高的准确度要求。另一类是基于非线性模型的分析方法,如模糊式识别理论[1]。这类研究改进了线性模型,但在指标标准值的选取过程中没有进行实证分析,容易使研究结果与房地产市场发展状况不符。(参考《建筑中文网》)
对比来看,将时间序列分析与人工神经网络结合的周期识别模型能有效地弥补上述方法的缺陷。一方面,人工神经网络能有效提取各指标间关系,弱化了对数据准确度的要求;另一方面,利用时间序列分析的结果作为人工神经网络周期识别模型的训练样本,可以避免指标标准值确定过程中的主观性偏差,提高了模型的预测精度。
本文利用时间序列分析对1992—2003年的北京房地产市场周期发展阶段进行判别研究,并将该判别结果作为训练样本,利用局部改进的标准BP人工神经网络构建了房地产周期识别模型。
1 房地产周期识别模型构建思路
基于人工神经网络建立房地产周期识别模型的基本思路是:第一阶段,把反映房地产周期情况的指标值作为人工神经网络的输入量,将用来描述周期各个发展阶段的术语进行编码后输出,形成人工神经网络的基本框架;第二阶段,用时间序列分析方法研究以往历年的房地产市场所处的周期发展阶段,将此作为训练样本来训练神经网络。当人工神经网络得到良好训练后,网络便提取了样本隐含的特征关系,这些特征信息保存在网络的权向量中;第三阶段,利用训练后的神经网络对需识别的指标数据进行处理,输出周期识别结果编码,该编码对应某一个周期发展阶段的描述术语。
2 房地产周期识别指标选取
本文根据周期理论[2,3],建立4类周期识别指标。第一类是反映房地产市场供给类指标,这类指标数值高说明房地产供给方对市场满怀信心,积极入市,反之说明供给方对房地产市场预期不理想,行动谨慎。第二类是反映房地产需求类的指标,这类指标数值高刻画出房地产市场需求旺盛,房地产发展态势良好。第一类与第二类指标反映房地产市场内部供求双方的表现和市场本身的调节能力。第三类指标主要反映当前社会经济发展状况,衡量目前房地产市场发展是否与经济发展相协调。第四类指标选取了与房地产业关联性最强的金融类指标,判断金融业发展能否为房地产市场提供发展契机。第三类与第四类指标反映外在因素对房地产市场的影响。
按照数据可得性的原则,本文选取了从1992年到2003年北京市房地产市场相关数据,具体指标与数据如表1所示,指标均以相对量的形式表示,真实反映房地产市场的周期变化规律。

数据来源:据北京市房地产统计年鉴(1992—2004年)、北京市统计年鉴(1992—2004年)的相关数据整理而得
3 房地产周期发展阶段描述
房地产发展的周期可以用经济周期理论来解释[4,5]。本文选取了“扩张”、“高峰”、“收缩”、“衰退”、“谷底”、“复苏”等词作为术语[6]。各描述术语与相对应的周期发展阶段如图1所示。

4 训练学习样本的建立
利用时间序列分析模型对1992年到2003年北京市房地产市场的周期发展阶段进行判别,将判别结果作为人工神经网络的训练样本。
4.1 建立周期判别模型
本文选用1987—2003年北京市商品房销售面积为指标进行时间序列研究,具体数据如表2所示。

数据来源:北京市房地产统计年鉴(1987—2004年)、北京市统计年鉴(1987—2004年)
若商品房销售面积用Y表示,则由时间序列理论[3]可得
Y=L+S+C+I. (1)
式(1)中:L为序列的长期趋势值;S为序列季节变动数值;C为序列长期循环变动数值;I为序列不规则变动数值。
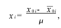
判定房地产市场发展周期规律的实质是计算循环变动值C,为此要从Y中分别剔除L、S和I。采用的是年度数据,故不考虑季节变动因素S。利用外推模型来剔除L。经过对二次曲线模型、三次曲线模型以及对数线性模型试算,建立了剔出一次项后的三次曲线趋势模型,其表达式为

注:DW统计量为计量经济中对模型序列相关程度的检验量。该模型统计量均在95%的水平上显著。
利用式(2)所求得的残值反映了房地产市场的周期与短期误差波动,即式(1)中的从C+I部分。本文利用三期移动平均来消除短期波动I。由于经过序列平滑会导致周期提前[7],这里根据北京市房地产市场发展的实际情况将所得新序列依次向后移动1年,具体循环变动值记为Y′。将历年循环变动值Y′表现在坐标中,如图2所示。

4.2 周期判别结果以及训练样本的建立
本文遵循图2所示的周期变化规律,结合北京市历年的房地产市场实际变化数据,判别了1992—2003年所处的周期发展阶段,如表4所示。
4.3 人工神经网络架构
首先,本文对标准BP算法进行了局部的改进,主要包括:
1)初值选取接近于0的随机数,使得训练的起始点在样本空间的中部,消除了可能产生的对各类样本的偏袒性。
2)对指标数据的输入进行预处理,选取各指标

其中:

3)对样本的输入顺序随机扰乱,并且利用同一个样本集进行反复训练;同时在样本的选取过程中,尽量满足各类样本数目相近的原则[8]。
4)本文训练的样本少,且神经网络的维度低,计算量较小,所以选取学习强度指标η为0.3,以避免训练中的振荡问题。

采用带一个隐层的三层BP人工神经网络,其中输入层设有10个节点,隐层设有20个节点,输出层设有6个节点,在输出层与隐层中通过试算选取Sigmoind函数f(x)=1/(1+e-x)作为转移函数。利用0-1编码对输出信息进行编码,输出结果和识别类型的对应关系如表5所示。

4.4 对训练样本进行训练
本文利用1992年到2003年指标数据作为训练样本,同时提供正确的周期识别编码结果,对神经网络进行训练,规定训练次数为5000次,误差项E设定为0.2为止。
将训练结果与实际编码进行对比,可以看出人工神经网络对学习样本的识别达到预期效果,具体训练结果如表6所示。

5 对2004年北京市房地产市场周期识别
将北京市房地产市场2004年数据与2003年数据进行比较,获得各项房地产周期识别指标值,如表7所示。

注:数据来源于北京市2004年统计快报。房地产贷款项与职工平均工资项未找到可靠数据,取前3年的平均值作为2004年数据。
将各个数据调整归一化后,输入到建立的人工神经网络周期识别模型中,得到表8所示的结果。
尽管由于2003年的SARS影响逐渐消失,并受到全国投资高速增长等因素的影响,2004年北京市房地产市场本应在继续扩张,但国家及时采取了一系列宏观调控措施,在信贷、土地、投资项目清理等方面限制投资的过快增长,抵消了扩张的趋势。因此,2004年北京市房地产市场基本保持在收缩状态,为2005年房地产市场的健康发展铺平了道路。
对比表8以及表6可知:2004年北京市房地产市场仍处于收缩状态。

6 结论与建议
本文基于人工神经网络建立了北京市房地产市场周期识别模型,并运用时间序列分析方法对学习样本所处周期阶段进行了判别,增加了识别模型的科学性与合理性。在建模过程中,房地产周期识别指标的选取是建立人工神经网络周期识别模型的关键。
为了推动后续研究,本文建议:应层层构建房地产周期识别指标,形成一定的指标结构和体系,使其能合理地体现市场的真实情况;同时,应对数据及时更新,并增加训练样本数量以有效提高模型的精度,更加准确地反映市场变化。
参考文献 (References)
[1]翁少群,张红.基于模糊模式识别理论的中国房地产市场发展阶段识别研究[J].土木工程学报,2004,37(5):96100.WENGShaoqun,ZHANGHong.AstudyofdeterminationforthedevelopmentstageofChinarealestatemarketbasedonthefussyrecognitiontheory[J].ChinaCivilEngJ,2004,37(5):96100.(inChinese)
[2]MartinW,NicoR.Incorporatingtherealestatecycleintomanagementdecisions-evidencefromGermany[J].JRealEstatePortfolioManagement,2004,3(10):171187.
[3]WheatonWC.Realestate“cycles”:Somefundamentals[J].RealEstateEconomics,1999,27(2):209231.
[4]MuellerGR,CreanMJ.Brownfields:Thelastopportunityinvestmentattheendofthisrealestatecycle?[J].RealEstateFinance,2002,19(3):1220.
[5]KaiserRW.Thelongcycleinrealestate[J].JournalofRealEstateResearch,1997,14(3):233258.
原文网址:http://www.pipcn.net/research/200611/916.htm
也许您还喜欢阅读:
