请告诉我们您的知识需求以及对本站的评价与建议。
满意 不满意
Email:
道路设施项目投资公平性的评价方法
栏目最新
- 东莞至惠州城际铁路隧道安全风险评估与管理
- 高层建筑给排水系统安装施工技术
- 高层建筑施工质量的五个控制要点
- 房屋建筑工程质量问题、原因和防止措施
- 地下停车场防水工程施工质量预控措施
- 试析绿色施工技术在建筑工程中的应用
- 施工企业预算管理措施及案例分析
- 岩溶地区隧道施工综合预报技术案例分析
- 预制块镶面现浇混凝土隧道洞门施工方法
- 建筑施工模板应用技术简析
网站最新
内容提示:传统的交通项目评价集中于对项目效率性的判断,忽视了公平性的分析,评价结果不够全面合理。该文引入区域公平性、归属公平性、最优分配的概念,提出了道路项目投资公平性问题的表现形式,并基于Wilson熵分布假设建立评价模型。该模型考虑了区域物价、地价、收入水平的差异以及社
依据现代经济学的观点, 所有工程项目都应该增进和提高社会福利。而社会福利的增加体现在效率性和公平性两个方面[ 1 ]。交通项目评价方法中最典型的是费用效益分析CBA 法, 它以净效益总值或效益ö费用比值等作为判断基准[ 2 ] , 重点放在项目效率性的评价上, 忽视了项目投资公平性的分析。道路项目投资的公平性研究是建立完整评价体系的必要基础, 尤其对中国而言, 它对探讨道路基本设施在西部以及东北地区的建设意义, 促进中国西部经济发展、东北经济振兴有着重要的意义。(参考《建筑中文网》)
1 公平的涵义和分类
公平的本质是社会成员之间利益进行合理调整的一种分配理念和由此而建立的分配机制, 同时也包括利益分配不合理时的相应补偿机制。从现实性来看, 它必须以经济的发展为基础, 以人类社会的文明与进步为价值导向, 是社会各种关系就利益问题成功合作、达成妥协的产物[ 3 ]。
在考虑公平性问题时, 通常从横向公平性和纵向公平性[ 4 ]两个角度出发。所谓横向公平性针对的是具有相当财富和能力的个人或群体, 主张获得与付出相匹配的效益; 相比, 纵向公平性集中考虑不同收入水平群体和社会阶层的效益分配, 分配的有效性体现在给予低收入群体或弱势群体更多效益,以补偿整个社会的不平等性。
2 道路项目投资中公平性的主要表现
人们最初对公平的认识主要集中于收入分配方面, 随着研究领域的不断扩展, 公平性的概念也趋向于多层次、多角度。针对道路项目投资的公平性问题, 其主要表现可归纳为3 个方面: 项目的透明度和公众参与度; 考虑地区经济水平差距的区域公平性以及不同受益群体的效益归属公平性。
2. 1 项目的公众参与度
美国的联合运输效率法案( ISTEA ) 中提出基础设施项目的建设必须是一个广泛包含公众参与的过程[ 5 ]。传统的规划体制下, 社会公众无法了解和参与道路项目的决策过程。然而, 道路项目牵扯到不同利益主体的协调, 如果决策过程没有公众的参与,不同利益主体没有均等的机会和发言权, 项目决策的有效性以及公众利益的体现不禁令人怀疑。
2. 2 区域公平性
根据边界效用递减原理[ 1 ] , 与高收入人群相比,同样的100 元对于低收入人群而言具有更高的价值; 与改善高收入阶层的经济状况的政策相比, 大多数人应该更倾向于改善低收入阶层的经济状况的政策。那么与改善经济发达地区经济状况的道路投资相比, 改善经济不发达地区的经济状况的道路投资应该更有意义, 更容易得到社会的认可。
基于这种社会的认可, 在做出道路设施项目的投资决策时, 需要考虑区域间经济水平的差距, 考虑人们对公平性的认识程度, 采用对不发达地区的项目效益补偿, 以减少区域间的差距, 促进社会经济公平合理的发展。
2. 3 归属公平性
从交通的可持续发展角度考虑, 部分群体在获得交通便利的同时, 不能牺牲社会其他群体的交通权益, 特别是交通弱势群体的交通权益。但近些年来, 城市交通发展中得到实惠最多的是少数高收入的小汽车使用者, 以北京为例, 小汽车使用者约占20% 的比例, 剩余80% 的人群主要采用公共交通、自行车、步行等交通方式, 他们的出行交通条件和出行环境随着小汽车的快速增长反而下降[ 6 ]。
众所周知, 每辆小汽车运送一位乘客所需道路面积是公共交通工具的10~20 倍。大量小汽车的运行易造成道路拥挤, 这使得同一路面的公共汽车也行驶缓慢, 难以维持正点行车, 出现公共汽车的“扎堆”现象, 影响公共交通的质量, 使得那些依赖公交出行的广大低收入人群的交通权利受到损害。行人和非机动车也不公平地受机动车造成的交通空间和交通安全的侵害。步行道和自行车道被严重压缩, 大量机动车侵占非机动车道, 行人横向穿越道路困难重重, 需要长距离绕行或上下过街天桥, 他们还要承受机动车导致的空气、噪声污染等环境恶化的危害。
3 道路投资的公平性评价模型
本研究针对中国经济发展不平衡的问题, 以道路项目投资的区域公平性和归属公平性为研究重点, 基于W ilson 熵分布假设, 建立了公平性的评价模型。

道路项目投资的公平性问题实质上也是多种状态的分配问题, 可以假设道路项目不同受益群体的分配效益符合W ilson 熵分布, 引入效益补偿因子和区域修正系数, 建立评价模型。
公平性的判断基准E 在0 到1 范围内, 其值越小表示项目投资越为公平, E = 0 对应最优分配状态,E = 1 为极不公平的临界状态[ 8 ]。
判断基准:

式中: E 为道路投资公平性的判断基准; S 为反映项目效益在不同区域和受益群体间分配的熵值;S max为在约束条件下最优分配对应的最大熵值; Gi为不同受益群体的分配效益值; Ai 为考虑对交通弱势群体的效益补偿因子; BJ 为区域J 的修正系数, 能反映区域J 与基准区域K 的经济水平差距; P K、P J为区域K、J 的物价水平; R K、R J 为区域K、J 的居住消费支出(地价或房租) 水平; Y K、Y J 为区域K、J的收入水平; B 为家庭支出中住房所占的比例; E为表示社会对公平性的认识程度的参数, 0< E< 1,其值大小与经济发展水平和社会价值取向有关。
3. 2 模型参数说明
分配效益值Gi 是针对不同的受益群体(评价主体) 建立相应的评价项目, 分别用费用效益分析CBA 等评价方法计量的效益。系统熵S 的影响系数有Ai、BJ , 它们能体现纵向公平性的思想, 即给予不发达地区、低收入群体或弱势群体以更大的效益, 以补偿社会的不平等性。Ai是大于等于1 的效益补偿因子, 其值越大效益补偿越多。按照归属公平性的分析, 应该对行人、非机动车和公交使用者实行一定的效益补偿, 相应的Ai 值大于1, 而机动车使用群体的Ai 取值为1。用式(5) 计算投资区域J 修正系数BJ 时, 必须预先设定一个基准区域K, 对比计算区域J 和基准区域K 的物价水平、地价水平和收入水平, 考虑家庭支出中住房所占比例B 以及社会对公平性的认识程度E。社会对公平性越重视, 区域J 的经济水平越低, 相应BJ 的值越大, 效益补偿就越多。式(6) 的约束条件是在熵假设前提下, 对分配效益的总和及范围的约束, 也就是说, 计算系统熵S 的分配效益值Gi 必须先经过归一化处理, 而最优分配在此约束条件下形成最大熵值S max。
3. 3 最优分配及感度分析
用L agrangian 乘子法计算有约束条件下的优化问题, 得到最优分配和最大熵值形式为:
最优分配效益

最大熵值

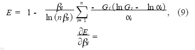
式(7) 中包含的1n项是不考虑任何补偿的最优分配量, 也就是平均分配的概念; 最优分配量Goi 与Ai成正比, Ai 越大Goi 也越大, 即补偿效应越多相应的效益分配越多, 这是符合常理判断的, 因为弱势群体应分配更多的效益才能称之为公平, 满足建模时效益补偿的设想。最优分配量Goi 与BJ 成反比, 这可以通过反映道路项目投资的公平性参数E 来解释。


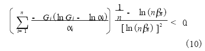
即BJ 增大将导致E 值的减小, 经济不发达地区的BJ 值大而E 值小, 公平性越高, 道路项目越容易被采纳, 这样模型就能体现这种区域补偿的要求。所以说, 建立的评价模型能很好地体现弱势群体和不发达区域的效益补偿作用, 接下来考虑模型对受益群体效益值Gi 的感度。

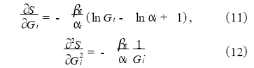
式(11) 和式(12) 分别表示熵S 对分配效益Gi 的一阶偏导和二阶偏导, 可以判断出S 对Gi 的感度介于Gi 和G2i 之间, 与数学方差法的G2i 感度相比更为合理。熵S 的增长超过Gi 的增长速度, 是因为在
的限制下, Gi 自身值增加必然带动其他Gk 值的减少, 导致受益群体间效益分配的不均衡性加速增大, 超过Gi 本身的变化。
1 公平的涵义和分类
公平的本质是社会成员之间利益进行合理调整的一种分配理念和由此而建立的分配机制, 同时也包括利益分配不合理时的相应补偿机制。从现实性来看, 它必须以经济的发展为基础, 以人类社会的文明与进步为价值导向, 是社会各种关系就利益问题成功合作、达成妥协的产物[ 3 ]。
在考虑公平性问题时, 通常从横向公平性和纵向公平性[ 4 ]两个角度出发。所谓横向公平性针对的是具有相当财富和能力的个人或群体, 主张获得与付出相匹配的效益; 相比, 纵向公平性集中考虑不同收入水平群体和社会阶层的效益分配, 分配的有效性体现在给予低收入群体或弱势群体更多效益,以补偿整个社会的不平等性。
2 道路项目投资中公平性的主要表现
人们最初对公平的认识主要集中于收入分配方面, 随着研究领域的不断扩展, 公平性的概念也趋向于多层次、多角度。针对道路项目投资的公平性问题, 其主要表现可归纳为3 个方面: 项目的透明度和公众参与度; 考虑地区经济水平差距的区域公平性以及不同受益群体的效益归属公平性。
2. 1 项目的公众参与度
美国的联合运输效率法案( ISTEA ) 中提出基础设施项目的建设必须是一个广泛包含公众参与的过程[ 5 ]。传统的规划体制下, 社会公众无法了解和参与道路项目的决策过程。然而, 道路项目牵扯到不同利益主体的协调, 如果决策过程没有公众的参与,不同利益主体没有均等的机会和发言权, 项目决策的有效性以及公众利益的体现不禁令人怀疑。
2. 2 区域公平性
根据边界效用递减原理[ 1 ] , 与高收入人群相比,同样的100 元对于低收入人群而言具有更高的价值; 与改善高收入阶层的经济状况的政策相比, 大多数人应该更倾向于改善低收入阶层的经济状况的政策。那么与改善经济发达地区经济状况的道路投资相比, 改善经济不发达地区的经济状况的道路投资应该更有意义, 更容易得到社会的认可。
基于这种社会的认可, 在做出道路设施项目的投资决策时, 需要考虑区域间经济水平的差距, 考虑人们对公平性的认识程度, 采用对不发达地区的项目效益补偿, 以减少区域间的差距, 促进社会经济公平合理的发展。
2. 3 归属公平性
从交通的可持续发展角度考虑, 部分群体在获得交通便利的同时, 不能牺牲社会其他群体的交通权益, 特别是交通弱势群体的交通权益。但近些年来, 城市交通发展中得到实惠最多的是少数高收入的小汽车使用者, 以北京为例, 小汽车使用者约占20% 的比例, 剩余80% 的人群主要采用公共交通、自行车、步行等交通方式, 他们的出行交通条件和出行环境随着小汽车的快速增长反而下降[ 6 ]。
众所周知, 每辆小汽车运送一位乘客所需道路面积是公共交通工具的10~20 倍。大量小汽车的运行易造成道路拥挤, 这使得同一路面的公共汽车也行驶缓慢, 难以维持正点行车, 出现公共汽车的“扎堆”现象, 影响公共交通的质量, 使得那些依赖公交出行的广大低收入人群的交通权利受到损害。行人和非机动车也不公平地受机动车造成的交通空间和交通安全的侵害。步行道和自行车道被严重压缩, 大量机动车侵占非机动车道, 行人横向穿越道路困难重重, 需要长距离绕行或上下过街天桥, 他们还要承受机动车导致的空气、噪声污染等环境恶化的危害。
3 道路投资的公平性评价模型
本研究针对中国经济发展不平衡的问题, 以道路项目投资的区域公平性和归属公平性为研究重点, 基于W ilson 熵分布假设, 建立了公平性的评价模型。
3. 1 基于Wilson 熵分布的模型构成
自从1976 年Wilson 应用数学方法对量子力学中熵的微观理论进行了适当的简化和诠释, 发表了著名的《空间分布模型的统计理论》以后, Wilson熵理论在各个领域得到了广泛的应用[ 7 ]。熵的概念源于热力学, 它被解释为物质系统的混乱和无序程度, 而熵增加原理意味着孤立系统向着微观状态最混乱的方向变化, 直至熵达到最大。当系统处于n 种可能的不同状态, 每种状态的出现概率为Q i ( i= 1, 2, ⋯, n) 时, 系统熵H 的基本形式为:

道路项目投资的公平性问题实质上也是多种状态的分配问题, 可以假设道路项目不同受益群体的分配效益符合W ilson 熵分布, 引入效益补偿因子和区域修正系数, 建立评价模型。
公平性的判断基准E 在0 到1 范围内, 其值越小表示项目投资越为公平, E = 0 对应最优分配状态,E = 1 为极不公平的临界状态[ 8 ]。
判断基准:

式中: E 为道路投资公平性的判断基准; S 为反映项目效益在不同区域和受益群体间分配的熵值;S max为在约束条件下最优分配对应的最大熵值; Gi为不同受益群体的分配效益值; Ai 为考虑对交通弱势群体的效益补偿因子; BJ 为区域J 的修正系数, 能反映区域J 与基准区域K 的经济水平差距; P K、P J为区域K、J 的物价水平; R K、R J 为区域K、J 的居住消费支出(地价或房租) 水平; Y K、Y J 为区域K、J的收入水平; B 为家庭支出中住房所占的比例; E为表示社会对公平性的认识程度的参数, 0< E< 1,其值大小与经济发展水平和社会价值取向有关。
3. 2 模型参数说明
分配效益值Gi 是针对不同的受益群体(评价主体) 建立相应的评价项目, 分别用费用效益分析CBA 等评价方法计量的效益。系统熵S 的影响系数有Ai、BJ , 它们能体现纵向公平性的思想, 即给予不发达地区、低收入群体或弱势群体以更大的效益, 以补偿社会的不平等性。Ai是大于等于1 的效益补偿因子, 其值越大效益补偿越多。按照归属公平性的分析, 应该对行人、非机动车和公交使用者实行一定的效益补偿, 相应的Ai 值大于1, 而机动车使用群体的Ai 取值为1。用式(5) 计算投资区域J 修正系数BJ 时, 必须预先设定一个基准区域K, 对比计算区域J 和基准区域K 的物价水平、地价水平和收入水平, 考虑家庭支出中住房所占比例B 以及社会对公平性的认识程度E。社会对公平性越重视, 区域J 的经济水平越低, 相应BJ 的值越大, 效益补偿就越多。式(6) 的约束条件是在熵假设前提下, 对分配效益的总和及范围的约束, 也就是说, 计算系统熵S 的分配效益值Gi 必须先经过归一化处理, 而最优分配在此约束条件下形成最大熵值S max。
3. 3 最优分配及感度分析
用L agrangian 乘子法计算有约束条件下的优化问题, 得到最优分配和最大熵值形式为:
最优分配效益

最大熵值

式(7) 中包含的1n项是不考虑任何补偿的最优分配量, 也就是平均分配的概念; 最优分配量Goi 与Ai成正比, Ai 越大Goi 也越大, 即补偿效应越多相应的效益分配越多, 这是符合常理判断的, 因为弱势群体应分配更多的效益才能称之为公平, 满足建模时效益补偿的设想。最优分配量Goi 与BJ 成反比, 这可以通过反映道路项目投资的公平性参数E 来解释。


即BJ 增大将导致E 值的减小, 经济不发达地区的BJ 值大而E 值小, 公平性越高, 道路项目越容易被采纳, 这样模型就能体现这种区域补偿的要求。所以说, 建立的评价模型能很好地体现弱势群体和不发达区域的效益补偿作用, 接下来考虑模型对受益群体效益值Gi 的感度。
式(11) 和式(12) 分别表示熵S 对分配效益Gi 的一阶偏导和二阶偏导, 可以判断出S 对Gi 的感度介于Gi 和G2i 之间, 与数学方差法的G2i 感度相比更为合理。熵S 的增长超过Gi 的增长速度, 是因为在
的限制下, Gi 自身值增加必然带动其他Gk 值的减少, 导致受益群体间效益分配的不均衡性加速增大, 超过Gi 本身的变化。原文网址:http://www.pipcn.net/research/200610/891.htm
也许您还喜欢阅读:
