基于供应链的房地产集成开发研究
- 加强房地产企业的财务管理
- 呼和浩特市房地产行业现状、主要问题和发展趋势
- 征地拆迁中的各方利益博弈和法律秩序的重建
- 浅议农村房屋拆迁补偿制度
- 妥善解决征地拆迁范围内房地产权问题
- 桂西北中心城区建设征地拆迁工作总结
- 城市建设征地拆迁中的职务犯罪分析
- 秦直道遗址的开发与保护研究
- 河南国网宝泉抽水蓄能电站投资计划管理实践
- 使用加气混凝土砌块做为保温墙体的节能分析
内容提示:结合房地产业的特点及当前房地产供应链管理的现状,分析了基于供应链的房地产集成开发模式,提出了前期合作伙伴的选择,事中控制,事后供应链成员的评价。对供应链上子联盟的二维管理方法,采用目标成本法建立了项目成本和工作量的分配模型,事中的追踪管理流程。
0 前言
供应链强调以市场的需求为导向,以最低的成本、最快的反应来满足客户的需求。供应链管理,是通过前馈的信息流和反馈的物流、信息流将供应商、制造商、分销商、零售商及最终用户连成一个整体的功能网络结构的管理模式。其思想强调生产流程上的各个企业充分发挥各自的核心竞争力,通过横向一体化的运作模式,建立长期、稳定的合作关系。(参考《建筑中文网》)
动态联盟,是一种为了快速响应市场经营机遇,由具有独立法人资格的多个企业,按一定方式共享技术、信息、利益和资源的临时性联盟。其核心思想是为及时响应市场需求,面临新机遇时,各企业迅速形成一个联盟,通过发挥各自的核心能力,共同完成一个项目。
建设工程集成开发(Computer Integrated Construction 简称 CIC),将孤立的、局部的前期策划系统、招投标咨询系统、计算机辅助设计 CAD、工程项目管理系统 PMIS、施工自动化系统 CAC、运营维护管理系统 FMS 等灵活而有机的结合形成有机整体,应用于建设工程项目全生命周期的各个阶段,提供信息处理平台,集成、处理各种所需信息,优化流程,协调战略,实现物流、信息流和价值流在各个环节上集成与优化运行,实现建筑产品从规划、设计、施工、管理直到运营和维护全过程的高度自动化,以促使各建设主体能够在更短的时间 T 内,以更好的质量 Q 以及更低的成本 C 完成项目产品。
1 基于供应链的房地产集成开发
1.1 基于供应链的房地产集成开发的模式—— 二维动态联盟管理模式
本文提出了二维的房地产动态供应链管理,在建设工程集成建设系统的基础上,横向沿着供应链方向的不同类型企业的集成,纵向在各开发子节点上的动态联盟管理。
(1)横向沿着供应链方向的不同类型企业的集成,房地产开发过程是一个串行线路,子节点上的每一个单位承担的任务不能由其它节点上的单位所取代,从这个角度上看房地产开发管理应采用供应链管理模式。
(2)纵向以企业核心竞争力的同类企业的动态联盟:随着规模化开发的不断推行,房地产项目的工作量也越来越大,要求每一个环节上需要 2 个以上的单位积极参与才能得以顺利完成。动态联盟管理可解决子环节上各单位间的竞争和冲突。因此,这种糅合了供应链和动态联盟的二维管理模式即符合项目开发环环相扣的特点,同时也考虑到大、中型项目开发的繁杂性。

1.2 基于供应链的房地产集成开发的特点
(1)组织灵活。由于建设项目的不可重复性,本文提出的管理模式是基于单个项目存在的。各联盟的短期合作关系在项目竣工后自动消亡。但供应链各单位仍保持长期的合作关系,新项目立项后开发企业能迅速组建一个新的供应链。
(2)合作与竞争共存。在这种二维管理模式下整条供应链强调各联盟紧密合作,为项目顺利完成贡献自己的资源。各子联盟采用的是动态模式,即不断淘汰不合格的成员,邀请符合标准的企业入盟,这样就增强了各成员的竞争意识,促使其不断提升自身的能力。
(3)实现了业务分包(outsourcing)。供应链管理的核心思想之一就是开发企业将不属于其核心竞争力的业务交与合作伙伴完成,从而将更多的资源投放到战略能力、产品创新能力、资金运作能力以及协调管理能力等关乎企业长远发展的核心竞争力上。
(4)全过程追踪管理。整个开发过程是在房地产企业统一组织、计划、指挥、监控、协调下完成的。开发企业能利用各企业局域网络及建设工程项目管理系统,对整个过程进行有效的监控追踪管理。
2 基于供应链的房地产集成开发全过程追踪管理
2.1 前期合作伙伴选择的标准和方法
供应链战略合作伙伴的选择标准,一是供应链合作能否增加供应链整体盈利,这是最重要的标准。二是通过合作带来的利益能否在各方得到的公平分配。三是供应链合作是否使得各方变得对其合作者更有价值,使他们更加相互依赖。四是整个供应链成本最小化,利润最大化,质量合格率最高,工期最短,改善相互之间的了解、信任、合作与交流。五是实现供应链干系节点企业的财务状况、质量、产量、竣工时间、用户满意度以及业绩的改善和提高。
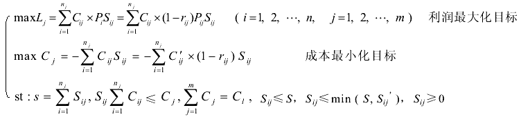
为了实现项目开发的成本最小化和利润最大化,开发企业需要对各子联盟获得的成本额和联盟内部各单位获得的工作量进行统筹安排。本文吸收目标成本法的思想,通过运用多目标线性规划的技术,建立了一个成本和工作量的分配模型。目标成本管理法是指在产品生产以前便决定其产品价值、预测期望利润与预期成本。具体步骤如下:
(1)项目的目标成本 CL=销售收入-目标利润-应纳税金。其中,销售收入=∑(计划销售产量×销售价格);目标利润=预计销售收入×同行业平均销售利润率=预计销售收入×该房地产企业上期或较好年度销售利润率;应纳税金=预计销售收入×税率。
(2)各开发节点的目标成本。根据项目可行性研究阶段做出的投资估算表,计算出每个环节的成本比重 xj,则各节点的目标成本.Cj = CL×xj (j=1,2,…,n),供应链上有 n 个节点,即有 n 个子联盟。
(3)子联盟内部成员单位成本及利润。利用各成员上期实际平均单位成本Cij′和计划成本降低率 rij,可求出当期该成员的单位成本:Cij= Cij′×(1-rij)(i=1,2,…,nj),第 j 个联盟中有 nj 个单位,该单位的单位利润为 Lij= Cij×pij 。其中,pij 为成本利润率。
(4)子联盟内部成员的工作量分配方案。设 项目的建筑面积为 S,Sij 为第 j 个子动态联盟中第 i个单位获得的承建面积或其他工作量指标, Si j′为该单位现有设备、机械、时间和技术等条件下能承接的最大工作量。模型如下:

利用多目标线性规划便可以方便的求解。
2.2 合作伙伴选择的流程分析
本文提出的二维管理模式的重点是对各子动态联盟的协调管理。动态联盟管理是指房地产开发企业在综合考虑单个项目的需求后,在每一个开发节点上组织建立一个子联盟,例如设计单位联盟,施工单位联盟等,如图 2 所示。项目立项后每个子联盟作为一个整体陆续进入供应链环节,完成相应的任务。项目完成后,开发企业对各个子联盟中的成员作出系统详尽的评价,与符合要求的成员建立新一轮的合作关系,为下一个开发项目的实施做准备。对于不满足最终审核标准的成员,应终结与其的合作关系,将其从子联盟中淘汰出局。至此,建立在项目的供应链关系就消亡了,而开发企业和各个子联盟仍然保持紧密的合作关系。下一个项目立项后开发企业在分析项目需求的基础上,对子联盟进行更新。如果上一轮的子联盟符合项目标准,则该联盟直接进入新的供应链流程;否则,开发企业可纳入新成员,使新联盟到达新项目的标准。这种基于每一个项目的实际要求,对已稳定存在的子联盟做出一定更新和调整的管理模式就是动态联盟下的合作伙伴选择方式。

2.3 加强事中控制,增强信息沟通、纠正偏差
该管理模式是在 CICS 的基础上发展来的,将企业、信息、过程进行有效集成。集成了参与企业的核心能力;将建筑产品开发的各个活动看成是一个整体、集成的过程,并且从整个动态联盟最优化的角度出发,对集成过程进行管理和控制;以信息集成作为纽带,将动态联盟的核心竞争了集中到建筑产品中,形成一个行之有效而优化的并行过程。具体过程如下:
重视对客户需求分析,销售商与客户直接参与产品设计阶段的前期工作,可以在早期就确定与生产有关的设计要求。策划单位在策划立项之时,就要考虑以后的勘测、设计、施工、销售、营运,并且得到各参与企业的大力支持甚至参与,将他们反馈的信息作为策划的依据。在勘测设计时,考虑到影响产品质量的各种因素,并行的处理产品生命周期中的各种关系,体现了整个动态联盟的合作、信任及信息共享,消除了由于串行过程而引起的部门分割、人员分散及信息障碍。在建筑产品施工过程中,将整个供应链动态联盟中的企业按照有效的方式通过过程的规划,最大并行的进行产品开发。
基于供应链的房地产并行集成开发动态追踪管理模式如图 3 所示。在整个集成开发过程中需要团队协作,主要体现在协作、信任、交流、折中、一致、不断提高和协调 7 个方面。

2.4 加强事后评价
与管理模式的二维性相对应,具体的管理措施也可从 2 个层面考虑。一是对作为一个整体参与供应链流程的各子联盟的管理;二是对子联盟内部成员的管理。
原文网址:http://www.pipcn.net/research/200610/872.htm
也许您还喜欢阅读:
