VLCC修船通风气流组织的研究
- 低碳节能建筑设计的相关问题及解决方法
- 江苏建筑职业技术学院图书馆设计文化理念
- 四川雅安名山县涌泉村抗震小学的设计理念
- 四川汶川5.12大地震的启示
- 汶川大地震震中纪念馆的创作思考
- 洛阳洛南新区雅安新城结构设计
- 绿色居住建筑的节地设计
- 广州珠江新城海心沙地下空间建筑设计方案
- 黔东南地区郎德苗寨民居的热适应性
- 西气东输工程中长输管道站场建筑模块化设计与应用
内容提示:从理论上分析了气流组织对通风效果的影响,根据大型原油运输船(VLCC)修船通风的特点,提出了一种新式的气流组织模型及其相应的末端装置,并通过利用示踪气体法测定通风效率,对气流组织作出了定量评价。
在大型原油运输船(VLCC即very large crude carrier)的检修过程中,由于切割和焊接等都会产生大量有害气体、烟尘和热量,不仅会严重影响人体健康,而且还有发生爆炸的危险,因此,船舱必须进行有效的通风。(参考《建筑中文网》)
VLCC船舱体积大,构造复杂;有害物源分散,而且通风系统使用时间非常短,一般工业通风的气流组织形式都不能满足要求。为此,笔者根据气流组织理论,提出了一种新型的气流组织形式,即全方位射流送风、自下而上全面通风和可能条件下的吹吸式排风。并研制出相应的送风系统末端装置。理论分析和模拟试验结果表明,气流组织合理,通风效率高,而且系统简单,是修船通风的理想气流组织形式。
2 通风气流组织的理论分析2.1 通风过程与气流组织的关系
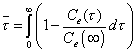
在给定条件下,气流组织形式确定之后,通风空间的气流流场也就随之确定,那么通风过程也就确定。因此,所有流体元素自进入通风空间到离开,所经历的时间(即驻留时间)均值即为定数。但是,每一流体元素在室内的驻留时间用是随机变量,若以τ表示,则τ=0~∞,驻留时间的分布函数F(τ)可以表示成:
(1)
当采用示踪气体法来测量通风过程时,由于示踪气体(如CO2)在通风气流中的浓度具有线性累加特性,因此,可以直接采用排风管内的浓度Ce(τ)/Ce(∞)来表示驻留时间的分布函数,即
F(τ)= Ce(τ)/Ce(∞) (2)
式在Ce(τ)和Ce(∞)分别为排风管内时刻τ和时刻∞的浓度。
于是得到驻留时间均值的计算式:
(3)
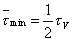
研究表明,在给定条件下,
值大小完全由气流组织所确定,如果流场中的回流和涡流比较多,那么
值比较大,通风过程就比较慢。反之,
值比较小,通风过程就比较快。当流场中的回流和涡流趋近于零时,流场成为完全单向流,此时
值最小,通风过程最快。所以,驻留时间均值是度量通风过程的良好尺度。
2.2 通风效果与通风过程的关系
我们利用通风过程方程式来描述通风过程,假设通风空间体积V,有害物质发生量
,通风量L及通风时间τ,根据质量守恒,得到通风过程方程式:
(4)
式中M(τ)为室内时刻τ的有害物累积量。当τ=∞时,通风过程达到平衡状态,则可解出室内平均浓度
:
(5)
式中τV=V/L,称为通风过程额定时间常数。由于室内平均浓度
是评价通风效果的主要指标,所以式(5)正好表明了通风效果与通风过程的相关关系。可以看出
愈小,通风过程愈快,通风效果愈好。
2.3 通风效率
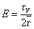
综合以上分析,不难看出,通风效果取决于通风过程,而通风过程又完全由气流组织所确定。因此,为了考虑气流组织对通风效果的影响,引出通风效率的概念,并定义为:
(6)
式中
min为最小驻留时间均值。众所周知,当室内气流为完全单向流时,流场中无回流和涡流,所以驻流时间均值最小,而且沿流动方向的浓度呈线性增加,在排风管内达到最大值。因此,
,所以由式(5)得到
(7)
那么
(8)
这就是说,通风效率是表示某一气流组织与单向流的接近程度。
以上分析表明,对于以排除有害物质为主要目的的室内通风,为了提高通风效率,气流组织型式应尽量接近单向流,如采用局部单向流通风、矢流送风以及吹吸式通风等。但必须指出,这些通风效率比较高的气流组织型式,必须有性能良好的末端装置与之相配合。这给通风的研究提出了新课题。
3 VLCC修船通风的气流组织设计
3.1 修船通风的特点
3.1.1 修船工作最大特点是检修地点不固定,每个地点的检修程度也不相同,通风负荷随时间和地点而变化。
3.1.2 修船周期短,小修只有一周,大修也不超过一个月。因此要求通风系统简单,灵活,便于拆装。
3.1.3 大型原油运输船的船舱体积大,而且特别深(可达30m),但除甲板上几个输油孔外,再无其他开口,给风管安装和系统布置带来困难。同时,船舱构造复杂,形形色色的肋板都会影响气流流动,因此,这对通风的气流组织形式及其有效性都提出了特殊要求。
3.2 气流组织形式构想
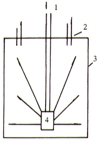
考虑到有害物源的分散性和多种有害物会产生爆炸性,因此采用全面通风。气流组织形式如图1所示。

图1 气流组织示意图
1 送风管 2排风管 3船舱 4空气分布器
首先将新鲜空气送到位于船舱底部的空气分布器,再由空气分布器以3层射流,全方位分布到整个空间。其中,下层射流为主送风,中层射流为助送风,上层射流既是助送风,还可能与排风口一起构成吹吸式排风。这种气流组织形式具有如下优点:
全方位送风,有效地解决了有害物源分散和通风地点不固定问题。
自下而上全面通风,既符合船舱构造特点,又与热气上升规律一致,为排除舱内有害物质创造了有利条件。
空气分布器以3层射流的恰当组合,形成全方位的类似于矢流送风的气流组织,从而大大减少了流场中的回流和涡流,提高了通风效率。
由图1可见,通风系统简单,因而适合于修船周期短的特点。
总之,上述气流组织形式,是VLCC修船通风比较理想的方案。要实现此方案,关键在于要有性能合适的空气分布器。
4 空气分布器的特性研究分布器的特性包括外特性和内特性。外特性是通过3层射流的恰当组合,使射流之间彼此干扰最小,从而使流场中的回流和涡流减到最少。内特性是通过流量分配,使每层射流流量符合设计值。本文提出的空气分布器结构见图2,3。
![]() 图2 空气分布器构造图 1 进口管 2 通道 3 喷嘴 | ![]() 图3 分布器剖面图 |
4.1 分布器外特性的试验研究
试验结果表明,当每层喷嘴数目
(a是单个射流扩散角),并且3层射流轴线仰角自下而上分别为0°,25°,50°时,射流彼些干扰程度最小。
4.2 分布器内特性的试验研究
由于分布器进口管内流速分布不均匀,所以必须先确定断面流速分布,才能进行流量分配和通道尺寸设计。
断面流速分布的试验结果
Re≤2×104,
(9)
Re>105,
(10)
式中v和vmax分别为断面上任一点流速和最大流速。
(11)
根据流速分布进行流量分配
当Re≤2×104,
(12)
当Re>105,
(13)
式中Lk是通道k的流量。

为了验证和定量评价上述气流组织的通风效果,在通风实验室内进行了模拟试验。
5.1 试验装置(见图4)
![]() 图4 气流组织试验装置简图 1 送风机 2 流量计 3CO2 4 排风罩 5 空气分布器 6 CO2喷嘴 7 试验小室 8 CO2监测器 9计算机 10 排风机 11通风实验室外套 12 空调机组 | ![]() 图5 试验风道布置 |
试验小室尺寸为4m×2.2m×2.5m,内壁上装有肋片模拟船舱,风道布置如图5a,b。
5.2 试验方法
采用示踪气体浓度衰减法,先开动送排风机,使通风量L=88m3/h,再通过喷嘴向室内喷射CO2气体使
=4L/min,在喷射量达到设计值后就停止喷射,并开始在排风管内测量CO2浓度Ce(τ),然后按下式计算通风效率:
5.3 试验内容
无空气分布器,双管端头送风,3个排风口排风,如图5a。
2个空气分布器送风,3个排风口排风,如图5b。
通风效果比较实验结果见图6。

图6 CO2浓度随时间变化曲线
气流组织形式 图5a 图5b
通风效率E 0.45 0.65
试验结果表明,空气分布器送风比没有空气分布器送风的通风效率提高了44%。
6 结论6.1 通风效果取决于通风过程,而通风过程又完全由气流组织来确定,因此设计通风方案的核心问题是确定气流组织形式。
6.2 利用通风效率来评价气流组织概念比较清楚,而且示踪气体法应用比较简便,因此在通风工程中具有实用意义。
6.3 本文提出的气流组织形式及其相应的送风末端装置,是朝着单向流方向提高通风效率的成功例证。
6.4 在给定条件下,改善气流组织的关键是开发新型的通风系统末端装置。
7 参考文献1 M Sandberg. The use of moments for assessing air quality in ventilated room. Building and Environment, Vol18, 1985.
2 N O Breum. Dilution versus displacement ventilation. National Institute of Occupational Health Denmark.
3 N O Breum and J Skotte. Displacement air flow in a printing plant measured with a rapid response tracer gas system. National Institute of Occupational Health Demark.
来源: 《建筑中文网》.原文网址:http://www.pipcn.net/research/200606/8588.htm
也许您还喜欢阅读:




