地源热泵工程设计方法与实例讲解
- 低碳节能建筑设计的相关问题及解决方法
- 江苏建筑职业技术学院图书馆设计文化理念
- 四川雅安名山县涌泉村抗震小学的设计理念
- 四川汶川5.12大地震的启示
- 汶川大地震震中纪念馆的创作思考
- 洛阳洛南新区雅安新城结构设计
- 绿色居住建筑的节地设计
- 广州珠江新城海心沙地下空间建筑设计方案
- 黔东南地区郎德苗寨民居的热适应性
- 西气东输工程中长输管道站场建筑模块化设计与应用
摘要:本文主要介绍了土壤源热泵系统的设计方法和步骤,重点论述了地下热交换器的设计过程。并举例加以说明。
关键词:土壤源热泵 热交换器
0 引言随着我国建筑业持续发展,对建筑节能的要求越来越高,而供热系统和空调系统是建筑能耗的主要组成部分,因此,设法减小这两部分能耗意义非常显著。地源热泵供热空调系统是一种使用可再生能源的高效节能、环保型的系统[1]。冬季通过吸收大地的能量,包括土壤、井水、湖泊等天然能源,向建筑物供热;夏季向大地释放热量,给建筑物供冷。相应地,地源热泵系统分土壤源热泵系统、地下水热泵系统和地表水热泵系统3种形式。(参考《建筑中文网》)
土壤源热泵系统的核心是土壤耦合地热交换器。
地下水热泵系统分为开式、闭式两种:开式是将地下水直接供到热泵机组,再将井水回灌到地下;闭式是将地下水连接到板式换热器,需要二次换热。
地表水热泵系统与土壤源热泵系统相似,用潜在水下并联的塑料管组成的地下水热交换器替代土壤热交换器。
虽然采用地下水、地表水的热泵系统的换热性能好,能耗低,性能系数高于土壤源热泵,但由于地下水、地表水并非到处可得,且水质也不一定能满足要求,所以其使用范围受到一定限制。国外(如美国、欧洲)主要研究和应用的地源热泵系统以及我国理论研究和实验研究的重点均是土壤源热泵系统。目前缺乏系统设计数据以及较具体的设计指导,本文进行了初步探讨,以供参考。
1 土壤源热泵系统设计的主要步骤(1)建筑物冷热负荷及冬夏季地下换热量计算
建筑物冷热负荷计算与常规空调系统冷热负荷计算方法相同,可参考有关空调系统设计手册,在此不再赘述。
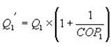
冬夏季地下换热量分别是指夏季向土壤排放的热量和冬季从土壤吸收的热量。可以由下述公式[2]计算:
kW (1)
kW (2)
其中Q1' ——夏季向土壤排放的热量,kW
Q1——夏季设计总冷负荷,kW
Q2'——冬季从土壤吸收的热量,kW
Q2——冬季设计总热负荷,kW
COP1——设计工况下水源热泵机组的制冷系数
COP2——设计工况下水源热泵机组的供热系数
一般地,水源热泵机组的产品样本中都给出不同进出水温度下的制冷量、制热量以及制冷系数、供热系数,计算时应从样本中选用设计工况下的 COP1、COP2 。若样本中无所需的设计工况,可以采用插值法计算。
(2)地下热交换器设计
这部分是土壤源热泵系统设计的核心内容,主要包括地下热交换器形式及管材选择,管径、管长及竖井数目、间距确定,管道阻力计算及水泵选型等。(在下文将具体叙述)
(3)其它
2 地下热交换器设计2.1 选择热交换器形式
2.1.1 水平(卧式)或垂直(立式)
在现场勘测结果的基础上,考虑现场可用地表面积、当地土壤类型以及钻孔费用,确定热交换器采用垂直竖井布置或水平布置方式。尽管水平布置通常是浅层埋管,可采用人工挖掘,初投资一般会便宜些,但它的换热性能比竖埋管小很多[3],并且往往受可利用土地面积的限制,所以在实际工程中,一般采用垂直埋管布置方式。
根据埋管方式不同,垂直埋管大致有3种形式:(1)U型管(2)套管型(3)单管型(详见[2])。套管型的内、外管中流体热交换时存在热损失。单管型的使用范围受水文地质条件的限制。U型管应用最多,管径一般在50mm以下,埋管越深,换热性能越好,资料表明[4]:最深的U型管埋深已达180m。U型管的典型环路有3种(详见[1]),其中使用最普遍的是每个竖井中布置单U型管。
2.1.2 串联或并联
地下热交换器中流体流动的回路形式有串联和并联两种,串联系统管径较大,管道费用较高,并且长度压降特性限制了系统能力。并联系统管径较小,管道费用较低,且常常布置成同程式,当每个并联环路之间流量平衡时,其换热量相同,其压降特性有利于提高系统能力。因此,实际工程一般都采用并联同程式。结合上文,即常采用单U型管并联同程的热交换器形式。
2.2 选择管材
一般来讲,一旦将换热器埋入地下后,基本不可能进行维修或更换,这就要求保证埋入地下管材的化学性质稳定并且耐腐蚀。常规空调系统中使用的金属管材在这方面存在严重不足,且需要埋入地下的管道的数量较多,应该优先考虑使用价格较低的管材。所以,土壤源热泵系统中一般采用塑料管材。目前最常用的是聚乙烯(PE)和聚丁烯(PB)管材,它们可以弯曲或热熔形成更牢固的形状,可以保证使用50年以上;而PVC管材由于不易弯曲,接头处耐压能力差,容易导致泄漏,因此,不推荐用于地下埋管系统。
2.3 确定管径
在实际工程中确定管径必须满足两个要求[2]:(1)管道要大到足够保持最小输送功率;(2)管道要小到足够使管道内保持紊流以保证流体与管道内壁之间的传热。显然,上述两个要求相互矛盾,需要综合考虑。一般并联环路用小管径,集管用大管径,地下热交换器埋管常用管径有20mm、25mm、32mm、40mm、50mm,管内流速控制在1.22m/s以下,对更大管径的管道,管内流速控制在2.44m/s以下或一般把各管段压力损失控制在4mH2O/100m当量长度以下[1]。
2.4 确定竖井埋管管长
地下热交换器长度的确定除了已确定的系统布置和管材外,还需要有当地的土壤技术资料,如地下温度、传热系数等。文献[2]介绍了一种计算方法共分9个步骤, 很繁琐,并且部分数据不易获得。在实际工程中,可以利用管材“换热能力”来计算管长。换热能力即单位垂直埋管深度或单位管长的换热量,一般垂直埋管为70~110W/m(井深),或35~55W/m(管长),水平埋管为20~40W/m(管长)左右[3]。
设计时可取换热能力的下限值,即35W/m(管长),具体计算公式如下:
(3)
其中 Q1'——竖井埋管总长,m
L ——夏季向土壤排放的热量,kW
分母“35”是夏季每m管长散热量,W/m
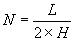
2.5 确定竖井数目及间距
国外,竖井深度多数采用50~100m[2],设计者可以在此范围内选择一个竖井深度H,代入下式计算竖井数目:
(4)
其中 N——竖井总数,个
L——竖井埋管总长,m
H——竖井深度,m
分母“2”是考虑到竖井内埋管管长约等于竖井深度的2倍。
然后对计算结果进行圆整,若计算结果偏大,可以增加竖井深度,但不能太深,否则钻孔和安装成本大大增加。
关于竖井间距有资料指出:U型管竖井的水平间距一般为4.5m[3],也有实例中提到DN25的U型管,其竖井水平间距为6m,而DN20的U型管,其竖井水平间距为3m[4]。若采用串联连接方式,可采用三角形布置(详见[2])来节约占地面积。
2.6 计算管道压力损失
在同程系统中,选择压力损失最大的热泵机组所在环路作为最不利环路进行阻力计算。可采用当量长度法,将局部阻力件转换成当量长度,和管道实际长度相加得到各不同管径管段的总当量长度,再乘以不同流量、不同管径管段每100m管道的压降,将所有管段压降相加,得出总阻力。
2.7 水泵选型
根据上述计算最不利环路所得的管道压力损失,再加上热泵机组、平衡阀和其他设备元件的压力损失,确定水泵的扬程,需考虑一定的安全裕量。根据系统总流量和水泵扬程,选择满足要求的水泵型号及台数。
2.8 校核管材承压能力
管路最大压力应小于管材的承压能力。若不计竖井灌浆引起的静压抵消,管路所需承受的最大压力等于大气压力、重力作用静压和水泵扬程一半的总和[1],即:

其中p ——管路最大压力,Pa
po——建筑物所在的当地大气压,Pa
ρ——地下埋管中流体密度,kg/m3
g ——当地重力加速度,m/s2
h——地下埋管最低点与闭式循环系统最高点的高度差,m
ρh——水泵扬程,Pa
3 其它3.1 与常规空调系统类似,需在高于闭式循环系统最高点处(一般为1m)设计膨胀水箱或膨胀罐,放气阀等附件。
3.2 在某些商用或公用建筑物的地源热泵系统中,系统的供冷量远大于供热量,导致地下热交换器十分庞大,价格昂贵,为节约投资或受可用地面积限制,地下埋管可以按照设计供热工况下最大吸热量来设计,同时增加辅助换热装置(如冷却塔+板式换热器,板式换热器主要是使建筑物内环路可以独立于冷却塔运行)承担供冷工况下超过地下埋管换热能力的那部分散热量。该方法可以降低安装费用,保证地源热泵系统具有更大的市场前景,尤其适用于改造工程[1]。
原文网址:http://www.pipcn.net/research/200606/8580.htm
也许您还喜欢阅读:
